مغنطيسيه معاكسه
Diamagnetism - Diamagnétisme

المغنطيسية المعاكسة

 

تسعى بعض المعادن metals مثل البزموت وبعض المواد العضوية مثل البنزين إلى تشكيل عزوم moments مغنطيسة تعاكس جهة الحقل المغنطيسي[ر] الذي تخضع له. تُدعى هذه الظاهرة بالمغنطيسية المعاكسة (العكسية) diamagnetism، وتنشأ بسبب تحريض الحقل المغنطيسي المطبق لتيارات كهربائية في ذرات المادة وجزيئاتها، وتؤدي هذه التيارات وفقاً لمبادئ النظرية الكهرطيسية إلى توليد عزوم مغنطيسية معاكسة للحقل. وخلافاً للمواد ذات المغنطيسية المسايرة[ر] paramagnetic تميل مثيلاتها ذات المغنطيسية المعاكسة إلى التقليل من تأثير الحقل المغنطيسي الذي يؤثِّر فيها. وعلى الرغم من أن الظاهرتين تعتمدان نسبياً على شدة الحقل المغنطيسي المطبق، إلا أن الأثر المغنطيسي المساير يكون عموماً أشد بكثير من الأثر المغنطيسي المعاكس. ومع أن المغنطيسية المعاكسة تنشأ في معظم المواد الصلبة، لكنّ الأثر المغنطيسي المساير يكون موجوداً أيضاً فيها ويحجب تأثيرُه فعلَ المساهمة المغنطيسية المعاكسة للمادة نفسها، ومن ثم تكون المحصلة مغنطيسية مسايرة صرفة. ولرجحان إحدى الظاهرتين على الأخرى في المادة الواحدة جوانب متعددة تتعلق بطبيعة هذه المادة وبنيتها والشروط الفيزيائية المطبقة عليها.

تجدر الإشارة أيضاً إلى عدم تأثر السلوك المغنطيسي المعاكس بدرجات الحرارة المنخفضة، في حين يكون تأثير الأخيرة شديداً في المفعول المغنطيسيي المساير، إذ يزداد العزم المغنطيسي بصورة عامة كثيراً عندما تنخفض درجة حرارة المادة. وتُلاحظ المغنطيسية المعاكسة في المواد الصلبة التي تكون فيها الطبقات الإلكترونية ممتلئة، مثل بلورات الغازات النادرة والبلورات الأيونية ionic crystals مثل بلورات ملح الطعام NaCl.

العزم المغنطيسي والنفاذية المغنطيسية

يرتبط منشأ العزم المغنطيسي في الذرة الحرة بالحالات الثلاث الآتية:

1) وجود سبين[ر] spin (اندفاع زاوي ذاتي) خاص بالإلكترون.

2) وجود اندفاع زاوي مداري orbital angular momentum مرتبط بحركة الإلكترونات حول النواة وعزم مغنطيسي مداري ناشئ منه.

3) تغيّر العزم المغنطيسي المداري عند تطبيق حقل مغنطيسي خارجي على الذرة.

ليس للذرات ذات الطبقات الإلكترونية الممتلئة سبين محصل أو عزم مغنطيسي محصل، فهذه العزوم تنشأ في الطبقات غير الممتلئة فقط.

تسهم الحالتان الأولى والثانية في نشوء مفعول المغنطيسية المسايرة للمواد، في حين تعطي الحالة الثالثة مساهمة مغنطيسية معاكسة.

ومن حيث المبدأ توجد في معظم المواد الصلبة ثنائيات قطب مغنطيسية magnetic dipoles تتحرض عند وضع المادة تحت تأثير حقل مغنطيسي خارجي. وبما أنه لا يمكن عملياً قياس شدة عزم كل ثنائي قطب منفرداً، فإنّ المساهمة الوسطية لتوجهات هذه الثنائيات يعبَّر عنه بمقدار متجه vector يُدعى العزم المغنطيسي. ومن أجل عدد من ثنائيات الأقطاب n في واحدة الحجم من المادة، يميز كلاً منها عزم مغنطيسي يصنع زاوية θ مع الحقل الخارجي (في الاتجاه z مثلاً) يُعطى العزم الكلي الفعّال بالعلاقة:

حيث <cos θ> = متوسط cos θ

وفيما يأتي تعريف مقدارين مهمين آخرين مرتبطين أحدهما بالآخر ويجري استخدامهما على نطاق واسع في توصيف الخصائص المغنطيسية للمواد، هما النفاذية permeability المغنطيسية والطواعية susceptibility المغنطيسية. فكما هو معلوم يتصف الحقل المغنطيسي بأحد متجهين يدعى الأول حقل التحريض induction المغنطيسي B والثاني شدة intensity الحقل المغنطيسي H ويعبَّر عن ارتباطهما في الخلاء بالعلاقة الآتية:

ثابت نفاذية الخلاء مقدراً بواحدات هنري H لكل متر. وعند وضع المادة الصلبة تحت تأثير حقل مغنطيسي خارجي فإنها لا تلبث أن تتمغنط ومن ثم سيضاف الحد إلى العلاقة السابقة أي

حيث يمثل شعاع التمغنط magnetisation. يمكن ضمن التقريب الخطي لتابعية متجه التمغنط للحقل المغنطيسي الخارجي في الأوساط المتناحية isotropic، عدّ تناسب المتجهين وفقاً للعلاقة الآتية:

حيث يمثّل χ الطواعية المغنطيسية للوسط وهي مقدار عددي لا أبعاد له. ومن ثم يمكن كتابة علاقة حقل التحريض المغنطيسي B كما يأتي:

كما يمكن أيضاً تعريف النفاذية المغنطيسية للوسط وفقاً للعلاقة:

μ = μ0 (1 + χ)

فيكون المتجهان مرتبطين عندئذ ببعضهما بالعلاقة الآتية:

 من ناحية أخرى تكون الطواعية χ في المواد المغنطيسية المعاكسة سالبة وأصغر بكثير من الواحد بالقيمة المطلقة (χ < 0)، مما يعني أن نفاذيتها المغنطيسية تكون أصغر من نفاذية الخلاء (μ < μ0).

ويبين الجدول الآتي قيم الطواعية المغنطيسية لبعض المواد.

المادة

الطواعية المغنطيسية المعاكسة χ

السليسيوم

-0.5 × 10-9

النحاس

-4.2 × 10-6

الغاليوم

-9.5 × 10-6

الزئبق

-2.3 × 10-5

البزموت

-1.6 × 10-4

المغنطيسية المعاكسة في الذرات والجزيئات

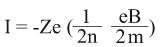
إن أكثر أشكال المغنطيسية [ر] إثارة للاهتمام تلك التي تنشأ في المواد الصلبة الحاوية في تركيبها على الأقل بعض الذرات المغنطيسية. من المناسب إذن في هذه الحالة دراسة الاستجابة المغنطيسية المعاكسة للإلكترونات في مداراتها حول الذرات أو الأيونات، ذلك لأن لكل إلكترون مغنطيسية معاكسة للحقل المغنطيسي المطبَّق، إلا أن العزوم المحرَّضة في هذه الحالة تكون ضئيلة جداً. كما أنه لا يمكن أن تظهر الخاصة المغنطيسية المعاكسة ما لم تكن جميع الإلكترونات في كل ذرة من الذرات المشكِّلة للمادة الصلبة متزاوجة paired أي إن الذرات لاتحوي إلكترونات فردية فلا تكون هناك ثنائيات أقطاب دائمة. بالنسبة إلى ذرة أو جزيئة تكون حركة هذه الإلكترونات المتزاوجة متناظرة كروياً عند غياب الحقل المغنطيسي المطبَّق، مما يعني انعدام كل من الاندفاع الزاوي والتيارات التي تطوف حول نواة nucleus الذرة ومن ثم انعدام العزم المغنطيسي. واعتماداً على قانون لينز Lenz’s law الذي ينص على أنه ينشأ تيار كهربائي في الدارة عندما يتغير التدفق flux المغنطيسي فيها، بحيث يعاكس التغيرَ الحاصل للتدفق. تعمل القوة المغنطيسية على إعادة التوازن بين قوى الجذب والنبذ للإلكترون على مداره بحيث يتباطأ التواتر المداري للإلكترون ذي العزم المغنطيسي المداري الموازي لاتجاه الحقل، في حين يتسارع تواتر الإلكترون ذي العزم المغنطيسي المداري المعاكس antiparallel للحقل الخارجي. تُحسَب قيمة التغيّر في التواتر المداري من العلاقة التقليدية التي تُدعى تواتر الترنح لـِ لارمور Larmor precession frequency وهي:

Δ ω = e B/2m

حيث e شحنة الإلكترون وm كتلته. إن هذا التغيّر في تواتر الإلكترون في مداره حول نواة الذرة يكافئ تياراً كهربائياً متحرضاً. فإذا كان عدد الإلكترونات في الذرة هو Z كان التيار الناشئ من دورانها بالتواتر المذكور هو:

ويساوي العزمُ المغنطيسي جداء هذا التيار بالمساحة التي يغطيها مرور الإلكترونات في الدارة:

حيث 2> هو متوسط مربع بعد الإلكترونات عن نواة الذرة. ومن ثم يمكن الحصول على الطواعية المغنطيسية المعاكسة للمادة في واحدة الحجم بالشكل:

حيث N عدد الذرات في واحدة الحجوم. ويُحصل على النتيجة ذاتها لدى معالجة المسألة وفقاً لميكانيك الكم[ر]. من أجل قيم عادية لعدد الإلكترونات وبعدها المداري تكون قيمة χ مساوية 10-5 تقريباً وهي قيمة تتفق والتجربة.

سمير الخواجة

الموضوعات ذات الصلة:

المغنطيس ـ المغنطيسية ـ المغنطيسية المسايرة ـ المغنطيسية المسايرة الفائقة.

مراجع للاستزادة:

ـ بسام المعصراني، فخري كتوت، فيزياء الجسم الصلب (مطبوعات جامعة دمشق 1983).

- J. S. BLAKEMORE, Solid State Physics, 2nd ed (Cambridge University Press, UK 1985).


- التصنيف : الكيمياء و الفيزياء - النوع : علوم - المجلد : المجلد التاسع عشر، طبعة 2007، دمشق - رقم الصفحة ضمن المجلد : 213 مشاركة :

متنوع

بحث ضمن الموسوعة