الأعداد الحقيقية (حقل-)
اعداد حقيقيه (حقل)
Real numbers - Nombres réels
الأعداد الحقيقية ح (حقل ـ)
من المعلوم أن مجموعة الأعداد الطبيعية ط تقبل الجمع والضرب (أي إن عمليتي الجمع والضرب في ط مغلقتان فيها)، ولكنها لا تقبل الطرح ولا التقسيم إلا في بعض الحالات، ولجعل هاتين العمليتين ممكنتين أُنشئت حلقة الأعداد الصحيحة ص، وفيها أصبح الطرح ممكناً، وأصبح للمعادلة أ+س=ب حل وحيد في ص أياً كان أ،ب Э ط؛ ثم أُنشئت مجموعة الأعداد المُنْطَقة (أو الكسرية أو العادية) مـ وفيها أصبح التقسيم على عدد غير معدوم ممكناًَ، وأصبح للمعادلة أ × س = ب (بفرض أن أ ≠\) حل وحيد يرمز له بـ ب/أ
وذلك أياً كان أ Эص*= ص- ل{0}، وأياً كان ب Эص. ولكن هل يمكن أن تحل في مـ المعادلة ( س2=2)؟ والجواب الصحيح لا، والتعليل كما يلي: لو وجد في مـ عنصر من الشكل ب/جـ بفرض أن ب، حـ غير قابلين للاختصار، مربعه =2، لكان ب2=2حـ2، وهذا يقتضي أن يكون ب عدداً زوجياً من الشكل ب= 2هـ مثلاً، حيث هـ Эص، ويؤدي هذا بدوره إلى المساواة (2هـ)2= 2جـ2 أي إلى 4هـ = 2جـ2، ومن ثم فإن جـ2 = 2هـ2 وحـ عدد زوجي، وهذا يتنافى مع ما افتُرض. ينتج من ذلك أن «العدد» الذي يقيس طول قطر مربع طول ضلعه واحدة الأطوال، ويشار لهذا العدد بـ كما هو مألوف، ليس عدداً منطقاً. كذلك فإن «العدد» الذي يقيس طول محيط دائرة قطرها واحدة الأطوال والذي يرمز بـ π ليس عدداً منطقاً. إذن هناك حاجة لحقل مرتب «جديد» من الأعداد يشمل حقل الأعداد المنطقة ويتمتع بخاصة تضمن وجود الأعداد و πوما يماثلها...
يرمز بـ ح لحقل مرتب أرخميدي يغمر مـ ويتمتع بخاصة التمام، وليكن الحديث أولاً عما يُقصد بالحقل المرتب.
إن القول (ح حقل مرتب) يعني أن ح(وسيطلق عليها فيما يلي اسم مجموعة الأعداد الحقيقية real numbers) هي مجموعة عرّف عليها عمليتا جمع+، وضرب ×، وزوِّدت بعلاقة ترتيب كلي ≥ وبحيث تتحقق الخواص التالية:
ـ (ح، +) زمرة تبادلية يرمز لعنصرها المحايد بـ \ ، ويسمى الصفر، ويرمز لنظير العنصر س بـ -س.
ـ (ح*، ×) زمرة تبادلية يرمز لعنصرها المحايد بـ 1، ويسمى الواحد، ويرمز لمقلوب العنصر س (من ح* ) بـ 1/س أو بـ س-1 وذلك بفرض أن ح* = ح-{0}.
ـ الضرب توزيعي على الجمع، أي إن: ب × (حـ + د)= (ب × حـ) + (ب × د) مهما تكن ب، حـ، د من ح.
يُعبَّر عما سبق بالقول: إن (ح، +، ×) حقل تبديلي.
ـ علاقة الترتيب ≥ منسجمة مع العمليتين +، × أي:
(1) س ≥ ع ⇐ س + ص ≥ ع + ص، ∀ س، ع، ص Эح
(2) س ≥ 0 وَ ع ≥ 0 ⇐ س × ع ≥ 0، ∀ س، ع Эح
سيرمزبـ ح+ لمجموعة العناصر س Эح المحققة للشرط س ≥ 0، وتدعى مجموعة الأعداد الحقيقية الموجبة (أو غير السالبة)، وسيرمز بـ ح- لمجموعة العناصر س Эح المحققة للشرط 0≥ س، وتدعى مجموعة الأعداد الحقيقية السالبة (غير الموجبة). استناداً لما سبق ينتج:
س، ع Эح+⇐ س + ع Эح+، س × ع Эح+
س، ع Эح-⇐ س × ع Эح-، س × ع Эح+
ح+ ح-= ح، ح+∩ ح-= {0}
يعبر عما سبق بالقول: إن (ح، +، ×، ≥) حقل مرتب.
والقول (ح حقل مرتب أرخميدي) يعني أنه مهما كان س من حفإنه يوجد عنصر ن من ط بحيث يكون ن ≥ س.
والقول (ح يغمر مـ) يعني أن ثمة تطبيقاً تا: مـ ←حمتبايناً يصون الجمع والضرب والترتيب:
تا(ب+حـ)= تا(ب)+ تا(حـ)، تا(ب×حـ)= تا (ب) × تا(حـ)، ب ≥جـ ⇐تا(ب) ≥تا(جـ)، وذلك أياً كان ب، حـ من ح. لذا سيطابق بين تا(مـ) ومـ، وتعد مـ مجموعة جزئية من ح.
وقبل الحديث عن خاصة التمام ليكن التعريف التالي:
القيمة المطلقة لعدد حقيقي (أو نظيمه): إذا كان س أي عدد حقيقي غير معدوم فإن أكبر العددين س، ـ س يسمى القيمة المطلقة للعدد الحقيقي س أو نظيم س ويُرمز لها بـ |س|أو‖س‖. أما إذا كان س=0 فإنه يكتب |\|=\، ينتج عن ذلك مايلي:
|س|= س إذا كان س Э ح+ و|س|=-س إذا كان س Эح- .
|س×ع|=|س|×|ع|، |س+ع|≤|س|+|ع|، وذلك أياً كان س، ع Эح . ثم إن |س| =0 ó س=0
يعبر عما سبق بالقول: إن (ح،|0| ) حقل منظم.
ـ خاصة التمام: يقال عن الحقل المنظم (ح،|0|) إنه تام إذا كانت كل متتالية كوشية في ح متقاربة (أي لها نهاية) في ح، حيث يقال عن متتالية (سن) من عناصر مـ أو ح إنها كوشية أو أساسية إذا تحقق مايلي:
مقابل أي عدد منطق أو حقيقي هـ > 0 يمكن أن يعين عدد طبيعي نهـ بحيث يقتضي تحقق المتراجحة ن≥ م ≥ نهـ تحقق المتراجحة|سن_سم|<هـ، ، ويقال عن متتالية (سن) من مـ (أو من ح) إنها متقاربة فيها إذا وجد عدد ل من مـ (أو من ح) بحيث يتحقق مايلي:
مقابل أي عدد منطق أو حقيقي هـ > 0 يمكن أن يعين عدد طبيعي نهـ بحيث يقتضي تحقق المتراجحة ن ≥ نهـ تحقق المتراجحة|س_ ل| <هـ. يدعى هذا العدد ل نهاية المتتالية (سن)، ويكتب نهان !هـ سن= ل.
ومن الواضح أن كل متتالية متقاربة في مـ (أو ح) تكون كوشية، وتنص خاصة التمام على صحة العكس في ح.
العددe
لتكن (سن) المتتالية من عناصر مـ (فهي إذن من عناصر ح) المعرفة كما يلي:
س0=1،س1=س0+1=2،س2=س1+ | 1 | ،...،س ن+1=س ن+ | 1 | =1+...+ | 1 | ، |
| 2! | ن! | ن! |
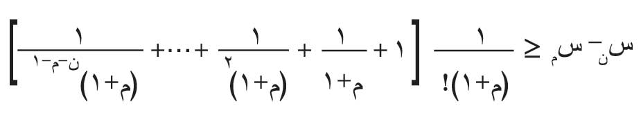
وهكذا، فإن هذه المتتالية كوشية لأنه إذا كانت ن > م فإن
س ن-س م = | 1 | + | 1 | +...+ | 1 | ، (ن-م) حداً، ويكون |
| (م+1)! | (م+2)! | ن! |
|
أي إن :
|
| ولما كانت | |
فإن (سن) كوشية وهي، استناداً إلى خاصة التمام، متقاربة في ح. يشار إلى نهاية هذه المتتالية بـ e وتدعى العدد النيبري (العدد الطبيعي).
إن e ليس عدداً منطقاً لأنه لو فرض e= ب/جـ (ب، جـ عددان طبيعيان غير معدومين)، فإن 1-e =جـ/ب، واستناداً إلى دستور مكلوران Maclaurin.
|
(بفرض أن 0 < | θ | <1) ينتج: |
يوجد معادلة
، ومنه يكون:
يوجد معادلة |
بأخذ ن ≥ ب وبضرب طرفي هذه المساواة بـ (ن + 1)! تبرز مساواة يستنتج منها أن (-1)ن+1 e -θ عدد طبيعي.
ولكن لما كان \<θ<١ فإن ١<еθ< | 1، أي ١>θ-е> | e-1>\ |
إذن e-1 ليس عدداً طبيعياً، ومن ثم فإن (1-)ن+1 e-θ ليس عدداً طبيعياً وهذا تناقض، الأمر الذي يدل على أن eليس عدداً منطقاً بل هو عدد أصم (غير منطق).
-يشار هنا إلى أن ثمة فارقاً بين العددين الأصمين وe، ذلك أن عدد حقيقي جبري، أي إنه يصلح أن يكون جذراً لحدودية (هي هنا س2- 2) أمثالها منطقة، بينما العدد e عدد حقيقي متسام، أي إنه لا يمكن أن يكون جذراً لأي حدودية أمثالها منطقة. كذلك فإن العدد π (وقد أوجد العالم العربي الكاشي قيمة تقريبية له بـ16 رقما بعد الفاصلة) هو عدد حقيقي متسام.
التقريب العشري لعدد حقيقي
استناداً إلى أرخميدية ح يمكن القول إنه أياً كان س Эح فثمة عدد صحيح وحيد م يحقق م≤ س≤ م +1 يدعى الجزء الصحيح لـ س، ويكتب [س]=م. وعلى هذا فإن [3.14]=3 و [-3.14]= -4 وهكذا...
ليكن الآن س عدداً حقيقياً ون عدداً طبيعياً. إن س×10ن عدد حقيقي، ولذا فإنه يوجد عدد صحيح وحيد من يحقق من≤ س×10ن<1+من ومن ذلك ينتج أن من × 10-ن ≤ س< (1+من)×10-ن يدعى العدد سن =من ×10-ن القيمة العشرية التقريبية للعدد س (بالنقصان) [بينما ندعو صن = (1+من) × 10-ن القيمة العشرية التقريبية للعدد س بالزيادة] وبخطأ لايتجاوز 10-ن. ويشار هنا إلى أن المتتاليتين (سن) و(صن) متجاورتان، أي أنهما تحققان مايلي: سن≤س ن+1 ≤ ص ن+1 ≤ صن وَ نها ن!¥ (صن- سن) = نهان!¥ 10-ن = \ ويقتضي ذلك أن كل عدد حقيقي هو نهاية لمتتالية من عناصر مـ. يعبر عن ذلك بالقول: إن مـ كثيفة في ح.
يوجد شكل
التمثيل الهندسي للأعداد الحقيقية
يمكن أن تمثل مجموعة الأعداد الحقيقية بنقط مستقيم كما يلي: لتكن أولاً نقطة م على مستقيم D (يسمى المستقيم العددي) ويمثل بها العدد الحقيقي صفر (0)، ثم تؤخذ نقطة ثانية و(على يمين م مثلاً) ويمثل بها العدد الحقيقي واحد (1). ويقبل أنه يمكن أن يقابل أي عدد حقيقي س بنقطة وحيدة تدعى صورة س، كما يمكن أن تقابل أي نقطة هـ من D بعدد حقيقي وحيد سهـ يدعى فاصلة النقطة هـ.
المستقيم الحقيقي الموسع ح
من المعلوم أنه ليس لكل مجموعة غير خالية في ح«حد أعلى» أو «حد أدنى» إلا إذا كانت «محدودة من الأعلى» أو كانت «محدودة من الأدنى» على الترتيب. ومرد ذلك أنه ليس في ح عنصر أكبر (مما سواه) وليس فيها عنصر أصغر (مما سواه). ولذا كونت المجموعة حيث ح = {- ∞،+∞} Èح حيث - ∞ و+∞ عنصرين جديدين. تزود ح، والتي تدعى موسع ح أو المستقيم الحقيقي الموسع، بعلاقة ترتيب كلي يحدد الترتيب المعرف على ح وضمن الشرط -∞ < س < +∞ أياً كان س Эحويكون -∞ أصغر عناصر ح و +∞ أكبرها.
تمديد العمليات +، × ، ÷ إلى ح:
يمدد الجمع من ح إلى ح وفق مايلي: " سЭ ح:س +∞ = ∞ +س =+∞ ، س + (-∞ )=(-∞ )+ س= -∞
كذلك(+∞ )+(+∞ )=+∞ ، (-∞ )+ (-∞ )= -∞
ويمدد الضرب كما يلي: " سЭ ح+-{0}: س × (+∞) = (+∞) × س = +∞ ، س × (-∞) = (-∞)×س= -∞
كذلك (+∞)×(+∞) =+∞ ، (-∞)× (-∞) = +∞.
أما إذا كان س<0 فيوضع س×(+∞) = (+∞) ×س = -∞ ، وَ س×(-∞) = (-∞)×س = +∞
كما يوضع س/+∞ = 0، س/-∞ = 0أيا كان س من ح. ويشار إلى أنه لامعنى لـ +∞ -∞ أو لـ -∞ +∞ أو لـ 0× +∞ أو لـ 0× -∞ (مع أنه يصطلح في نظرية القياس على أن 0× +∞ =0)
الفترات (المجالات) المفتوحة
إذا كان ب، جـ Эح، وكان ب ≤جـ فإن مجموع العناصر س من ح المحققة للشروط ب < س < جـ تدعى فترة مفتوحة في ح، ويرمز لها بـ]ب، جـ[. فإذا كان ب، جـ Эحدعيت الفترة ]ب، جـ[ فترة مفتوحة محدودة ودعي س0=ب+جـ/2 مركزها و جـ-ب/2 = ر نصف قطرها ول= جـ ـ ب طولها، بينما تدعى الفترة ]-∞، جـ[، بفرض أن جـ من ح، فترة مفتوحة محدودة من الأعلى، وتدعى الفترة ]ب، +∞[، بفرض أن ب من ح، فترة مفتوحة محدودة من الأدنى. يقال عن مج Ê ح إنها جوارٌ لـ س0 Э ح إذا كـانت مج تحوي فترة مفتوحة ينتمي إليها س0، بينما تسمى ]س0-ر،س0+ر[ حيث يكون ر > 0، جواراً نظامياً مفتوحاً لـ س0 وهو فترة مفتوحة مركزها س0 ونصف قطرها ر وطولها 2ر. يقال عن مج Ê ح إنها مجموعة مفتوحة في ح إذا كانت مج جواراً لكل نقطة من نقاطها، ويلاحظ هنا أن Φ، المجموعة الخالية، مفتوحة، وحأيضاً مجموعة مفتوحة، كما أن كل فترة مفتوحة هي مجموعة مفتوحة (وليس العكس صحيحاً بالضرورة). يلاحظ أن تقاطع عدد منته من المفتوحات مجموعة مفتوحة، وأن اتحاد أي جماعة من المفتوحات هو مجموعة مفتوحة. يدعى صف المجموعات المفتوحة في حطبولوجيه ح. ويقال عن نقطة س0 من ح إنها نقطة تجمع (تراكم) للمجموعة مج Ê ح إذا حوى كل جوار لـ س0 مجموعة جزئية غير منتهية من عناصر مج. ويقال عن مج إنها مغلقة إذا حوت جميع نقط تجمعها، ويمكن أن يثبت أن مج مغلقة ⇔ مكملتها مفتوحة. ويمكن أن يرى بسهولة أنه أياً كان ب، جـ Эحفإن مجموعة العناصر س Эح المحققة للشرط ب≤ س ≤جـ، والتي يرمز لها بـ[ب، جـ]، هي مجموعة مغلقة تدعى عادة فترة مغلقة محدودة. كذلك فإنه إذا كان هـэح ، فإن مجموعة العناصر س من ح المحققة للشرط س ≤ هـ (أو س ≥ هـ)، والتي يرمز لها بـ ] -∞، هـ] (أو بـ[هـ، +∞[)، هي مجموعة مغلقة تدعى فترة مغلقة محدودة من الأعلى (من الأدنى). ويقال عن مج Ê ح إنها محدودة من الأعلى (من الأدنى) إذا كانت محتواة في فترة مفتوحة محدودة من الأعلى (من الأدنى)، ويقال إن مج محدودة إذا كانت محدودة من الأعلى ومن الأدنى، ويكفي لتحقق ذلك أن تكون مج محتواة في فترة مفتوحة محدودة. أصبح الآن من الممكن إيراد بعض المبرهنات المهمة في ح.
(1) مبرهنة الفترات المغلقة المحدودة المتداخلة: إذا كانت [بن،جـن] متتالية من الفترات المغلقة المحدودة والمتداخلة، أي إن كل فترة تحوي تاليتها، وإذا كانت المتتالية لن=جـن-بن متقاربة من الصفر فهنالك نقطة واحدة فقط هـ تشترك فيها جميع هذه الفترات، ويكون نها ن!¥بن =نها ن!¥ جـن = هـ
(2) مبرهنة الحد الأعلى: إذا كانت مج غير خالية ومحدودة من الأعلى في ح، فإن في ح عنصراً وحيداً ل يدعى الحد الأعلى لـ مج يحقق مايلي: مج Ê ]-∞، ل] و لَ < ل Ü مج ]-∞، لَ]
(3) مبرهنة وجود الجذر التربيعي لأي عدد حقيقي موجب (أو الجذر من المرتبة ن حيث يكون ن عنصراً من ط*): إذا كان ب عدداً حقيقياً موجباً فثمة عنصر س эح* ويحقق المساواة سن = ب يدعى العنصر س هذا، الجذر الموجب لـ ب، ويرمز له بـ ، ويكفي للتأكد من صحة هذه المبرهنة أن يلاحظ أن المجموعة {س:س Э ح* وسن ب} غير خالية وأنها محدودة من الأعلى. إذن يوجد في ح حد أعلى لها، وليكن ل، عندئذ ينتج أن لن= ن.
(4) مبرهنة بولزانو ـ فاير شتراسBolzano- Weierstrass: لكل مجموعة غير منتهية ومحدودة في ح نقطة تجمع واحدة على الأقل.
(5) مبرهنة بوريل ـ لوبيغ Borel- Lebesgue: إذا كان اتحاد جماعة (مجهـ)هـdЭ من المفتوحات يحوي الفترة المغلقة المحدودة [ب، حـ] فيمكن أن توجد العناصر هـ1، هـ2،...هـن من مجموعة الأدلة d بحيث يكون مج هـ1 È...È مجهـ ن Í[ب، جـ] يعبر عن ذلك بالقول أن [ب، حـ] مجموعة متراصة.
(6) إن ح غير عدودة (أي غير قابلة للعد)، وإن مـ العدودة كثيفة فيها، أي إن كل فترة مفتوحة في ح لابد وأن تقطع بعبارة أخرى: إذا كان ب، جـэحوب <حـ فثمة عنصر س من بحيث يكون ب <س <حـ، كذلك فإن مكملة مـ في ح كثيفة في ح، كما أن كل عدد حقيقي هو نهاية لمتتالية من الأعداد المنطقة، وهو نهاية لمتتالية من الأعداد الصماء.
إنشاءح
هناك عدة طرائق لأنشاء (تمثيل) ح
يلفت النظر هنا إلى أنه إذا كان هناك حقلان مرتبان تامان فإن ثمة تقابلاً من أحدهما إلى الآخر يحافظ على الجمع والضرب والترتيب فيهما. ولذا لايميز بينهما. وليكن البدء بإنشاء ديدكند Dedekind لـ ح.
انشاءديدكند: يسمى عدداً حقيقاً أي مجموعة ج غير خالية من مـ تحقق مايلي: مكملة ج غير خالية، وإذا كان العدد المنطق ب من ج فإن جميع عناصر مـ التي تصغره تنتمي إلى ج، وثمة عدد منطق واحد على الأقل أكبر تماماً من ب ينتمي إلى ج أيضاً. وسيرمز بـ حلمجموعة الأعداد الحقيقية.
غمر مـ في ح: ليكن تا:مـ ! ح: ب ! تا(ب) ={س:س э مـ وس <ب} إن تا (ب) عدد حقيقي يدعى عدداً حقيقياً منطقاً وإن تا متباين. لذا سيطابق بين مـ وتا(مـ)، وسيدعى أي عنصر من ح/تا(مـ) عدداً حقيقياً غير منطق (أصماً). وقد يرمز للسهولة لـ تا(ب) بـ ب ولـ تا(0) بـ 0 ولـ تا (1) بـ 1.
تعريف الترتيب: إذا كان ج1 و ج2 عددين حقيقيين فإنه يقال إن ج1 ج2اذا كانت المجموعة الأولى تحوي الثانية.
وإذا كان ج1 Íج2وَ ج1 ج2 فإنه يقال إن ج1 أكبر تماماً من ج2 ويكتب ج1 > ج2 وترد هنا المبرهنة التالية:
مبرهنة: لكل مجموعة مج غير خالية ومحدودة من الأعلى في ح حد أعلى في ح: (خاصة الحد الأعلى).
تعريف الجمع: ج1+ج2@ {س =س1+س2:س1 Э ج1 وَ س2 Э ج2} أياً كان ج1 و ج2 من ح.
تعريف الضرب: يعرف أولاً ضرب عددين موجبين تماماً ثم يمدد التعريف:
إذا كان ج1 > تا(0) و ج2 > تا(0) فإن ج1ج2 @ {س = س1× س2: سر>0 وَ سرЭ جر وَ ر =1،2} È تا(0)
أما مقلوب عنصر ج > تا(0) فيعطى بـ: 1/ج @ {1/س: س عنصر من مكملة ج وليس أصغر عنصر فيها} È تا(0)،
ونظير ج ={-س: س عنصر من مكملة ج وليس أصغر عنصر فيها}. بعد كل هذه التعريفـات يمكن إثبـات مايلي: (ح، +، ×، ) حقل مرتب تام، وتا المعرف سابقاً يحافظ على الجمع والضرب والترتيب.
إنشاء كانتور Cantor: سيرمز بـ a لمجموعة متتاليات كوشي في مـ وليعرف عليها علاقة تكافؤ كمايلي: يقال عن متتاليتين (بن) و(جـن) إنهما متكافئتان اذا كانت نها ن!¥ (بن- جـن) =0 ، وسيرمز لذلك بـ (بن) ~ (جـن)،وبـ ح لمجموعة صفوف التكافؤ، ويدعى كل صف تكافؤ عدداً حقيقياً.
غمرمـ في ح: ليكن ب Эمـ ولتكن المتتالية (بن) بفرض أن بن= ب أياً كانت ن. إن (بن) كوشية. ليرمز لصف التكافؤ الموافق لها بـ تا(ب) وليسمَّ عدداً حقيقياً منطقاً وقد يرمز له بالرمز ب للسهولة. يكون بذلك قد عرف تطبيق تا: مـ !ح، ب !تا(ب)، متباين.
تعريف الجمع: ليفرض س Эح و صЭحوليفرض (سن)Э س و(صن)Э ص إن المتتالية (سن+ صن) كوشية. ليرمز بـ جـ لصف التكافؤ الموافق لها وليسمَّ حاصل جمع س و ص ويكتب س+ص= جـ.
تعريف الضرب: ليفرض س Эح و صЭح وليفرض (سن)Э س و(صن)Э ص إن المتتالية (سن× صن) كوشية. ليرمز بـ د لصف التكافؤ الموافق لها وليسمَّ جداء س و ص ويكتب س × ص= د.
تعريف علاقة الترتيب: ليفرض س Эحو صЭح. يقال إن س ≥ ص إذا أمكن إيجاد ممثل لـ س: (سن) وممثل لـ ص: (صن) بحيث سن> صن أياً كانت ن من ط. يمكن بعد هذا إثبات مايلي: (1) (ح، +، ×، ≥) حقل تبادلي مرتب، (2) تا: مـ !ح المعرف سابقاً محافظ على الجمع والضرب والترتيب. لذا سيطابق بين مـ وتا(مـ) كما أُشير، (3) بين أي عددين حقيقيين مختلفين هنالك عدد منطق (أي إن مـ كثيفة في ح)، (4) كل متتالية كوشية في ح متقاربة (أي إن ح حقل منظم تام).
محمد بشير قابيل
الموضوعاتذات الصلة |
الأعداد الصحيحة ـ الأعداد الطبيعية ـ الأعداد المنطقة ـ الحلقة ـ الزمرة ـ الطبولوجية.
مراجع للاستزادة: |
ـ عبد الغني الطنطاوي، مبادئ التحليل الرياضي (جامعة دمشق 1972).
ـ صلاح أحمد، التحليل (1)، (جامعة دمشق).
ـ خضر الأحمد، المدخل إلى التحليل الرياضي (جامعة الرياض، 1979).
-W.RUDIN, Principles of Mathematical Analysis (Mc. Graw- Hill, U.S.A. 1967).
- التصنيف : الرياضيات و الفلك - النوع : علوم - المجلد : المجلد الثاني، طبعة 2000، دمشق - رقم الصفحة ضمن المجلد : 733 مشاركة :
