القرابة الوراثية
قرابه وراثيه
Genetic relationship - Parenté génétique
القرابة الوراثية
القرابة relationship بين فردين تعني اشتراكهما بصلة نسب (أب أو أم أو قريب آخر) أو أكثر، ويمكن تتبع هذه العلاقة برسم النسب بطرائق عدة، يبين الشكل (1) ثلاثة نماذج منها، ويتضح من دراسته أن الحيوانين S وC هما أخوان نصفا شقيقين بسبب اشتراكهما بأب واحد هو A واختلافهما بالأب الآخر من جهة. ومن جهة أخرى، فإن الحيوان X ناشئ من تزاوج داخلي (تربية الأقارب inbreeding) لكونه ناتج من تلقيح الأب S لابنته D، كما أن الحيوان Dناتج من تزاوج الأخوين نصف الشقيقين S و C.
|
الشكل (1) |
وفيما يتعلق بالتطبيق العملي، يعدّ فردان قريبين إذا احتوى نسب كل منهما على صلة نسب أو أكثر في الأجيال الخمسة أو الستة السابقة لهما. وبديهي أن يكون هنالك تشابه بين الأقارب، وأن يزداد الشبه بينهم بازدياد درجة القرابة، فالفرد يشبه أباه أكثر مما يشبه عمه، والإخوة أكثر شبهاً من أولاد العم، وهكذا.
وتصنف القرابة في مجموعتين هما:
ـ القرابة المباشرة direct: يكون منها انتقال المورثات بين الفردين مباشراً مثل قرابة الابن لأبيه.
ـ القرابة غير المباشرة أو الجانبية collateral: يكون فيها وصول المورثات من صلة النسب إلى الأفراد غير مباشر، مثل القرابة بين أبناء العم.
يعود الفضل إلى العالم سيوال رايت [ر] Sewall Wright في وضع قانون يعبر كمياً عن العلاقة بين فردين يرتبطان معاً بصلة نسب واحدة أو أكثر، ومن ثم يعبر عن مقدار الشبه بينهما وراثياً. فإذا كان فرد يمتلك النمط الوراثي Dd فإن ابنه سيمتلك إحدى هاتين المورثتين، وبهذا تكون قيمة العلاقة بينهما 0.5 (أو 50%)، وإذا كان لهذا الابن أخ شقيق، فإنه سيمتلك القيمة نفسها للعلاقة الوراثية بينه وبين أبيه (0.5). وبحسب قانون الاحتمالات المستقلة فإن درجة احتمال امتلاك الابنين إحدى هاتين المورثتين هي 0.5× 0.5=0.25، يضاف إلى ذلك القيمة نفسها كدرجة احتمال امتلاكهما المورثة من أمهما. وبهذا فإن درجة احتمال امتلاك الابنين الشقيقين المورثة نفسها هي 0.25+0.25=0.50. أما عند الأخوين نصف الشقيقين half brothers، فإن هذه العلاقة بينهما لاتتعدى 0.25 لأنهما يشتركان في صلة نسب مباشرة واحدة فقط هي الأب أو الأم. وبديهي أن كلمة الأب في مجالات هذا البحث تشير إلى الأب أو الأم، وأن كلمة الابن تشير إلى الابن أو البنت، سواء كان ذلك عند الإنسان أم الحيوان.
بافتراض فرد يرتبط وراثياً مع جد له قبل 6 أجيال، فإن درجة هذا الارتباط لاتتعدى (0.5 6) أي 0.015625(أي نحو 1.5%)، وهو ارتباط ضعيف للغاية يوضح أن القرابة بينهما أصبحت شبه معدومة، ويمكن عدّها صفراً. أما في حالة التوءمين الصنوين identical twins فإن القرابة بينهما كاملة (100%)؛ لأنهما نشأا من بيضة مخصبة zygote واحدة ومن ثم يمتلكان المورثات ذاتها.
معامل القرابةcoefficient of relationship: هو مقياس وضعه سيوال رايت في مطلع القرن العشرين. ويستخدم لقياس درجة احتمال امتلاك فردين قريبين مورثات متماثلة بقدر يفوق ماهو موجود في المجموع الأساسي base population، وذلك بسبب امتلاكهما صلة نسب مشتركة أو أكثر.
يقاس معامل القرابة بمعادلة سيوال رايت الآتية:
|
حيث:
Rxy = معامل القرابة بين x و.y
Σ = مجموع.
تعبير عن انقسام النمط الوراثي إلى نصفين في أثناء تكوين الأعراس في كل جيل.
n = عدد الأجيال بين الفردين x وy.
FA = معامل تربية الأقارب للرابطة المشتركة A، ويحسب معامل تربية الأقارب لكل صلة نسب إذا وجد أكثر من واحدة وكانت ناتجة من تربية الأقارب، وإذا لم تكن ناتجة من تربية الأقارب فإن F الخاصة بها تساوي صفراً.
Fx وFy = معاملا تربية الأقارب للفردين x وy إذا كانا ناتجين من تربية الأقارب.
وفي حالة التزاوج العشوائي حيث تكون قيم كل من FA وFx وFy مساوية الصفر، يمكن اختصار المعادلة السابقة على النحو الآتي:
لحساب معامل القرابة يفضل رسم النسب بطريقة الأسهم، ويعين عدد الأسهم الواصلة بين الفردين المعنيين عبر صلة النسب، ويكرر ذلك في حالة وجود أكثر من صلة في النسب. ويجب عدم استخدام سهم (طريق) أكثر من مرة لصلة مشتركة واحدة، ويُعكس اتجاه السهم بعد صلة النسب.
أمثلة:
ـ معامل القرابة بين أب وابنته:
|
ـ معامل القرابة بين جد وحفيدته:
|
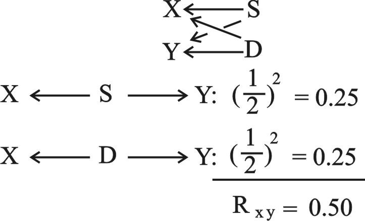
ـ معامل القرابة بين أخوين شقيقين:
|
يعمل مربو الحيوان على تحسين الصفات الوراثية والمظهرية لحيواناتهم باستخدام عمليات الاصطفاء الحيواني[ر] animal selection، ومن ثم إجراء التزاوج بين أفضلها، مستخدمين إحدى وسيلتين هما: التربية الداخلية (تربية الأقارب)، أو التربية الخارجية outbreeding (تربية الأباعد). وتعتمد كلتا الطريقتين على مدى وجود قرابة بين الحيوانات المتزاوجة أو عدم وجودها.
استخدِمَت التربية الداخلية منذ زمن طويل، وماتزال تستخدم لتحسين الحيوان والدواجن وراثياً، وتُزاوج فيها أفراد تُوجد بينها صلة أو صلات قربى في الأجيال الثلاثة أو الأربعة السابقة لها، وهي بالتالي أفراد ذات صلة قربى تزيد على متوسط القرابة في القطيع أو المجموع الذي تنتمي إليه. وبديهي أنها على نقيض التزاوج العشوائي random mating الذي تكون فيه لكل فرد من القطيع أو المجموع الفرصة ذاتها للتزاوج مع أي فرد آخر من دون تدخل أحد. وزواج الأقارب معروف عند الإنسان، ويُمارس، في حدود معينة، في المجتمعات العربية والإسلامية، ومن أمثلته زواج أبناء وبنات الأعمام أو الأخوال أو العمات أو الخالات.
يُعد التلقيح الذاتي في النبات من أشد حالات التربية الداخلية، إذْ يساوي معامل القرابة في هذه الحالات الواحد الصحيح. أما في الحيوانات فيقل معامل القرابة عن ذلك. وتؤدي التربية الداخلية إلى آثار وراثية ومن ثم مظهرية مهمة (قد يكون بعضها ضاراً إذا اشتدت القرابة بين الأفراد المزاوجة أو استمر تنفيذها مدة طويلة)، ومن أهمها زيادة التجانس الوراثي في الأجيال الناتجة من هذه الطريقة التربوية، أي زيادة تحول المورثات من حالة خليطة إلى حالة نقية (متماثلة الزيجوت)، وتتوقف سرعة هذا التحول على درجة القرابة بين الأفراد المتزاوجة.
يُقاس هذا التأثير بوساطة معامل التربية الداخلية coefficient of inbreeding، وهو مقياس للنقص في نسبة المواقع الوراثية الهجينة (أو للزيادة في نسبة المواقع الوراثية النقية «الأصيلة») نتيجة لتزاوج أفراد ذوي صلات قربى بالمقارنة مع القطيع الأساسي الذي تنتمي إليه. وتستخدم لذلك معادلة سيوال رايت الآتية:
حيث: Fx = معامل التربية الداخلية للفرد X، FA = معامل التربية الداخلية لصلة النسب، n = عدد الأسهم التي تصل بين أب الفرد وأمه عن طريق صلة النسب.
وإذا كانت صلة النسب ذاتها ناتجة من تزاوج عشوائي فيمكن اختصار المعادلة السابقة كما يأتي:
|
مثال: يلاحظ من الشكل (2) أن الحيوان X ناتج من التلقيح بين أخوين شقيقين هما C وD، وأن صلات النسب هي A وB وG ومن ثم فإن معامل التربية الداخلية لكل من هذه الصلات هو صفر، لعدم توفر بيانات كافية عن أسلافها، وبالتالي تحدد الطرق بين أبوي الحيوان X كما هو مبين في الجدول (1).
| |
الجدول (1) | الشكل (2) |
المعادلة الكاملة لمعامل القرابة:
لما كانت التربية الداخلية تُزيد النقاوة الوراثية في المجموع الذي تمارس فيه، فإنها قد تجعل صلة نسب (أو أكثر) في مجموع ما ناتجة من هذه التربية، مما يعني أن فردين ناتجين من هذه الصلة سيمتلكان مورثات متشابهة أكثر، فتزداد درجة القرابة بينهما عما لو كانت الصلة المذكورة غير ناتجة من تربية داخلية، وبالتالي تستعمل المعادلة الكاملة لمعامل القرابة بدلا من المعادلة المختصرة لحساب معامل قرابة أكثر دقة بين فردين. وفيما يأتي مثال لذلك، يُطلب فيه حساب هذا المعامل بين الحيوانين S و D:
الحيوان X ناتج من تلقيح أب (S) لابنته (D)، والأب ذاته ناتج من تربية داخلية (تزاوج أخوين نصف شقيقين هما K و E)،
|
ومن ثم فإن معامل التربية الداخلية لهذا الأب هو:
أما معامل التربية الداخلية للحيوان X فيحسب كما يأتي:
|
ثم يحسب معامل القرابة بين X و S كما يأتي:
|
وباستخدام المعادلة الكاملة يكون معامل القرابة مساوياً:
|
أسامة عارف العوا
| الموضوعات ذات الصلة: |
الاصطفاء الحيواني.
| مراجع للاستزادة: |
- R.M.BOURDON, Understanding Animal Breeding (Prentic Hall 1999).
- D.S.FALCONER, Introduction to Quantitative Genetics (Prentic Hall 1996).
- D. L.HART & A. G. CLARK, Principles of Population Genetics (Sinauer Assor 1997).
- التصنيف : الزراعة و البيطرة - النوع : صحة - المجلد : المجلد الخامس عشر، طبعة 2006، دمشق - رقم الصفحة ضمن المجلد : 287 مشاركة :
