هندسه تحليليه
Analytical geometry - Géométrie analytique

الهندسة التحليلية

 

يُعدّ ديكارت[ر] Descartesمؤسس علم الهندسة التحليلية في بحثه المنشور عام 1637، ثم كان لكل من فيرما[ر] Fermatوأولر[ر] ulerدور كبير في تطوير هذا العلم.

تكمن الفكرة الأساسية في الهندسة التحليلية في تحويل دراسة الأشكال الهندسية في المستوي والفضاء إلى دراسة معادلات جبرية؛ إذ يتم التعبير عن النقطة الهندسية بأعداد تسمى الإحداثيات، ثم التعامل مع هذه الإحداثيات بدلاً من النقط، ومن ثم التعبير عن المنحنيات والسطوح بمعادلات جبرية. ولهذا يطلق على الهندسة التحليلية أحياناً اسم الهندسة الإحداثية.

الإحداثيات coordinates

المحور (المستقيم الموجه) axis: هو مستقيم ما سَ س، تمّ اختيار اتجاه عليه، بعدّه اتجاهاً موجباً.

وإذا اختيرت عليه نقطة ما (م مثلاً)، وواحدة طول معيّنة هـ، سُمّي هذا المحور محور الأعداد الحقيقية؛ إذ يمكن مقابلة كل نقطة على المحور سَ م س بعدد حقيقي نسميه إحداثي تلك النقطة أو فاصلتها abscissa، وبالعكس فإن كل عدد حقيقي يقابل نقطة على المحور سَ م س (الشكل-1).

   

الشكل (1)

   

وهكذا في مستوٍ ما (ى) يمكن مقابلة كل نقطة ن من المستوي بزوج مرتب من الأعداد (ب، ج) وفق أسلوب محدد. فإذا تم رسم محورين ثابتين متقاطعين سَ م س وعَ م ع في المستوي ووحدة طول هـ، ورسم من ن مستقيمان موازيان للمستقيمين سَ م س، عَ م ع فيقطعانهما في نقطتين ن1 ون2. فإذا كان إحداثي ن1 على سَ م س هو ب، وكان إحداثي ن2 على عَ م ع هو ج؛ فإن الزوج المرتب المقابل للنقطة ن هو (ب، ج)، ويسمى إحداثيات النقطة ن (الشكل-2)، وبالعكس فإنه يمكن تعيين النقطة ن بالزوج المرتب (ب، ج).

   

الشكل (2)

   

 

إذا كانت الزاوية بين المستقيمين قائمة ينتج ما يسمى الإحداثيات المتعامدة rectangular coordinates أو الديكارتية. ويبين (الشكل-3) بعض النقط وإحداثياتها المتعامدة.

   

الشكل (3)

   

 

ويشار هنا إلى أنه توجد طرائق كثيرة لتعيين إحداثيات نقطة، ويدرج أكثرها استعمالاً فيما يأتي:

الإحداثيات القطبية polar coordinates

إذا كان سَ م س محوراً في مستوٍ (ى)؛ فيمكن تعيين النقطة ن بالزوج المرتب (ر، يه) (الشكل-4) حيث ر هي بعد النقطة ن عن م، ويه هي الزاوية التي يدورها م س بعكس عقارب الساعة (وهو عادة الاتجاه الموجب للدوران) للانطباق على م ن. أما العلاقة بين الإحداثيات القطبية والإحداثيات الديكارتية فيتم بإسقاط النقطة ن على محورين متعامدين سَ م س وعَ م ع حيث يكون:

س = ر. تجب يه ع = ر. جب يه

   

الشكل (4)

   

 

الإحداثيات في الفضاء الثلاثي

هنا يلزم ثلاثة محاور ثابتة متقاطعة في نقطة واحدة، ويفترض - للسهولة - أن هذه المحاور متعامدة (الشكل-5)، فيتم عندئذ تعيين نقطة ن في الفضاء بثلاثية مرتبة من الأعداد (ب، ج، د) تُسمّى الإحداثيات المتعامدة أو الديكارتية للنقطة ن وهذه الثلاثية هي أبعاد ن الجبرية عن المستويات (م ع ص، م س ص، م س ع) على الترتيب.

   

الشكل (5)

   

 

وتجدر الإشارة إلى أنه يمكن تعيين هذه النقطة بطريقتين معروفتين هما الإحداثيات القطبية والإحداثيات الكروية.

المعادلات الجبرية للمنحنيات والسطوح

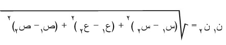
تتم كتابة المعادلة الجبرية لمنحن بمعرفة الخاصة الهندسية المميزة لهذا المنحني ومن ثم التعبير جبرياً عن هذه الخاصة، فإذا كانت العبارة الجبرية للبعد بين نقطتين ن11، ع1، ص1) ون22، ع2، ص2) هي:

فإن نقاط محيط دائرة مركزها هـ (ب، ج) (الشكل-6) ونصف قطرها نق يجب أن تحقق العلاقة هـ ن2 = نق2 من أجل كل نقطة ن(س، ع) من الدائرة، أي (س - ب)2 + (ع - ج)2 = نق2، فهي معادلة الدائرة التي مركزها هـ (ب، ج) ونصف قطرها نق.

   

الشكل (6)

   

 

وإن معادلة كرة مركزها هـ (ب، ج، د) (الشكل-7) ونصف قطرها نق هي:

(س - ب)2 + (ع - ج)2 + (ص - د)2 = نق2

   

الشكل (7)

   

 

وهكذا يمكن التعبير عن المنحنيات والسطوح بمعادلات جبرية؛ إذ يمكن القول: إذا حققت إحداثيات نقطة مُعادَلة السطح (المنحني)؛ فإن هذه النقطة تقع على السطح (المنحني)، وبالعكس فإن كل نقطة تقع على السطح (المنحني) لابد أن تحقق إحداثياتها معادلة ذلك السطح (المنحني)، وبذلك ينقلب مفهوم تقاطع منحنيين إلى مفهوم الحل المشترك لمعادلتي المنحنيين، فلو كانت المعادلتان:

ها(س، ع)=0 وتا(س، ع) =0

تمثلان منحنيين حـها وحـ تا فإن نقطة تقاطع هذين المنحنيين تقع على كل منهما، أي إن إحداثياتها (ب، ج) يجب أن تحقق معادلتيهما، وهكذا فإن الإحداثيات (ب، ج) هي الحل المشترك لمعادلتي المنحنيين.

وإن من أهم الموضوعات التي تدرسها الهندسة التحليلية هي: الدائرة، القطوع المخروطية، منحنيات الدرجة الثانية وتصنيفها، المستقيم في المستوي والفضاء، المستوي، الكرة، المجسمات المختلفة للقطوع المخروطية، السطوح الدورانية، السطوح المسطّرة.

فوزي دنان

مراجع للاستزادة:

ـ فوزي دنان، الهندسة التحليلية، الرياضيات للمهندسين (2) (مطبعة طربين، 1988).

-V.A. LLYIN & E.G. POZNYAK, Analytic Geometry (Mir Publishers, Moscow 1984).


- التصنيف : الرياضيات و الفلك - النوع : علوم - المجلد : المجلد الواحد والعشرون، طبعة 2008، دمشق - رقم الصفحة ضمن المجلد : 581 مشاركة :

متنوع

بحث ضمن الموسوعة