التدفق
تدفق
Flux - Flux
التدفق
إن تدفق الحقل الكهربائي electric field flux أو أو تدفق أي حقل متجه   عبر سطح معين S هو حاصل ضرب مساحة السطح في مركبة الحقل العمودية ^B على هذا السطح. ويفترض هذا التعريف ضمنياً أن السطح مستو والحقل منتظم (أي له الجهة نفسها والقيمة نفسها عند أي نقطة من نقاط السطح)، الشكل  -1. فإذا كان الحقل عمودياً على السطح، (الشكل  -1،أ)، كان التدفق جداء المساحة بقيمة الحقل، أما إذا كان الحقل مائلاً على السطح كانت المركبة العمودية
 عبر سطح معين S هو حاصل ضرب مساحة السطح في مركبة الحقل العمودية ^B على هذا السطح. ويفترض هذا التعريف ضمنياً أن السطح مستو والحقل منتظم (أي له الجهة نفسها والقيمة نفسها عند أي نقطة من نقاط السطح)، الشكل  -1. فإذا كان الحقل عمودياً على السطح، (الشكل  -1،أ)، كان التدفق جداء المساحة بقيمة الحقل، أما إذا كان الحقل مائلاً على السطح كانت المركبة العمودية . يعبر عن حاصل الضرب في هذه الحالة: الجداء العددي
. يعبر عن حاصل الضرب في هذه الحالة: الجداء العددي ، على أن تمثَّل S بمتجهة عمودية على السطح ومقدارها مساحته، (الشكل  -1،ب). أما عندما يكون السطح غير مستوٍ فيجزَّأ إلى سطوح عنصرية لا متناهية في الصغر تمثل كل منها بالمتجهة
، على أن تمثَّل S بمتجهة عمودية على السطح ومقدارها مساحته، (الشكل  -1،ب). أما عندما يكون السطح غير مستوٍ فيجزَّأ إلى سطوح عنصرية لا متناهية في الصغر تمثل كل منها بالمتجهة التي يمكن أن تعدّ مستوية بسبب صغرها ويحسب بمتجهة الحقل عند مركز الجزء ds ثم تجمع أو تكامل على السطح كله للحصول على التدفق عبر السطح
 التي يمكن أن تعدّ مستوية بسبب صغرها ويحسب بمتجهة الحقل عند مركز الجزء ds ثم تجمع أو تكامل على السطح كله للحصول على التدفق عبر السطح  أي يكون:
 أي يكون: 
| 
 | 
|   | 
وفي الحالة العامة يمكن أن تتغير و
 و والزاوية بينهما  α من نقطة إلى أخرى (الشكل  -2).
 والزاوية بينهما  α من نقطة إلى أخرى (الشكل  -2). 
|   | 
في الواقع، وكما تشير كلمة التدفق لأول وهلة، فإن تعريفه مستمد من جريان الموائع. وقد استخدم علماء القرن التاسع عشر عند صياغتهم النظرية الكهرومغنطيسية في التحريك الكهربائي[ر] مقارنات مع نظرية جريان الموائع لتكون أداة مساعدة لتخيلاتهم. فالتدفق عبر أنبوب هو كمية المائع التي تعبر سطح الأنبوب في واحدة الزمن. ويحسب نتيجة حاصل ضرب الكثافة بالسطح بالسرعة الوسطية للجريان. وقد أدخلت السرعة الوسطية (العمودية على مقطع الأنبوب) بسبب اختلاف السرعة من نقطة إلى أخرى فأدخل حقل السرع الشعاعي ليحدّد السرعة عند كل نقطة، كما أدخل مفهوم خطوط التيار وأنابيب التيار عند دراسة تحريك الموائع[ر]. بالمقابل فقد أدخل مفهوم خطوط القوة (أو الحقل) التي فيها المماس عند أية نقطة منها منطبق على الحقل عند تلك النقطة ومازال البعض يسميها خطوط الجريان. وبالمثل أدخل مفهوم أنبوب القوة أو الحقل عندما ترسم الخطوط مستندة إلى منحن مغلق. ويُسهِّل إدخال مفهوم التدفق شرح كثير من الظواهر وآثارها. فإذا كان الحقل حقلاً كهربائياً سمّي التدفق الكهربائي، وإذا كان الحقل حقلاً مغنطيسياً سمّي التدفق المغنطيسي magnetic flux، وإذا كان الحقل يمثل تدرج في درجة الحرارة سمّي التدفق الحراري (تدفق الطاقة الحرارية) أو تدفق الطاقة.
يتعلق تدفق الحقل الكهربائي مثلاً، بتوزع الشحنة على سطح الناقل، فيكون التدفق عبر واحدة السطح أو ما يسمى كثافة التدفق flux density، مساوياً الشحنة الكهربائية في واحدة السطح أي الكثافة السطحية. وبما أن اتجاه الحقل الكهربائي عند نقطة من سطح ناقل عمودي على هذا السطح فإن خطوط الحقل تنطلق من السطح موجب الشحنة متجهة نحو السطوح سالبة الشحنة، فإذا ما تشكل أنبوب من هذه الخطوط كان التدفق عبر هذا الأنبوب ثابتاً شريطة أن لا يحتوي على شحنات ما عدا المتوزعة على السطوح. أما تدفق الحقل المغنطيسي أو التدفق المغنطيسي اختصارأ فيساعد في حساب القوة المحركة الكهربائية، فهي تساوي في ملف محرك كهربائي تغير التدفق مع الزمن. كما تساعد في صياغة قوانين التحريك الكهربائي[ر] صياغة رياضية وفق قوانين مكسويل.
تقوم كثافة التدفق الحراري (وهي كمية الحرارة التي تعبر واحدة السطح في واحدة الزمن بصورة عمودية عليه) بدور مماثل في التعبير عن خواص المادة الحرارية، فهي متناسبة مع حقل التدرج في درجة الحرارة وثابت التناسب هو الناقلية الحرارية للمادة، وذلك عندما تنتقل الحرارة عبر قضيب معدني أو أنبوب وضع طرفاه على تماس مع منبعين حراريين مختلفين في درجة حرارتهما.
يمكن أن يفيد التدفق أيضاً في حساب تدفق الطاقة بأشكالها الأخرى مثل الطاقة الضوئية القادمة من الشمس. وعلينا عند حساب التدفق تحديد الحقل الذي يحمل الطاقة والسطح المراد حساب التدفق عبره فنقارن مثلاً بين شدات الإضاءة من منابع مختلفة أو شدات الإنارة للسطوح المختلفة باستخدام هذا المفهوم أو مفهوم كثافة التدفق.
|   | 
وثمة علاقة مفيدة تربط بين التدفق عبر سطح مغلق (الذي هو تكامل مركبة الحقل على السطح كله) وتكامل على الحجم الذي يضمه هذا السطح لما يعرف بتفرق الحقل الذي يرمز له بـdiv. تظهر فائدة هذا الربط بصورة خاصة في المواد العازلة تحت تأثير حقل كهربائي فتتأثر المادة ويظهر هذا التأثير عبر حقل الإزاحة الكهربائية الكلي ، فيكون التدفق الكهربائي عبر سطح مغلق يساوي، وفق نظرية غاوص Gauss، مجموع الشحنات الكهربائية الحرة الموجودة داخله. فإذا حسبنا التدفق عبر سطح على شكل متوازي مستطيلات عنصري أبعاده da وdy وdz (لامتناهية الصغر) (الشكل  -3) نجد أولاً أن التدفق عبر الوجهين المتقابلين العموديين على المحور x مساوٍ لحاصل طرح التدفق عبر كل منهما مع الانتباه إلى تغير قيمة الحقل عند أحدهما عن الآخر فيكون:
، فيكون التدفق الكهربائي عبر سطح مغلق يساوي، وفق نظرية غاوص Gauss، مجموع الشحنات الكهربائية الحرة الموجودة داخله. فإذا حسبنا التدفق عبر سطح على شكل متوازي مستطيلات عنصري أبعاده da وdy وdz (لامتناهية الصغر) (الشكل  -3) نجد أولاً أن التدفق عبر الوجهين المتقابلين العموديين على المحور x مساوٍ لحاصل طرح التدفق عبر كل منهما مع الانتباه إلى تغير قيمة الحقل عند أحدهما عن الآخر فيكون:  
| Dx (x+dx) dy dz -Dx(x) dy dz | 
وعند نشر (Dx (x+dx بجوار x والاكتفاء بالحد الأول يكون:
| 
 | 
وبإضافة التدفقين عبر كلٍ من الوجهين المتقابلين الآخرين نجد أن التدفق الكلي يساوي:
| 
 | 
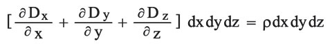
وهو بحسب نظرية غاوص يساوي مجموع الشحنات الموجودة داخله، فإذا رمز بـ ρ لكثافة الشحنات يكون مجموعها ρ dx dy dz وعليه يكون:
| 
 | 
ويعرف ما داخل القوس بتفرق الحقل الذي مركباته Dx وDy وDz في جملة المحاور الديكارتية المختارة فيكون:
| 
 | 
في حالة حساب التدفق عبر سطح مغلق كبير يكون:
| 
 | 
فوزي عوض
| الموضوعات ذات الصلة: | 
تحريك الموائع ـ التحريك الكهربائي.
| مراجع للاستزادة: | 
- T.B.Akrill, G.A.G.Bennet & C.J.Miller, Physics (Edward Arnold Lt.d., G.B 1979).
- M.W.Zemansky, Heat and Thermodynamics (McGraw-Hill Book Comp. Student ed. 1957).
- التصنيف : الكيمياء و الفيزياء - النوع : علوم - المجلد : المجلد السادس، طبعة 2002، دمشق - رقم الصفحة ضمن المجلد : 225 مشاركة :
 
                   
                     
                     
                     
                     
  
  
  
  
  
  
                 
									 
									 
									 
									 
									 
									 
									 
									 
									 
									 
									 
									 
									 
									 
									 
									 
									 
									 
									 
									 
									