لابلاس ـ غوص (قانون-)
لابلاس غوص (قانون)
-- - --
لابلاس - غوص ( قانون -)
التوزيع النظامي (الطبيعي)
إن المتحولات (المتغيرات) العشوائية المستمرة continuous random variables تولّد فراغ عينة مستمراً، تكون نقاطه متراصة إلى بعضها كنقاط محور موجه، ومن ثمّ فإنها إضافة إلى كونها لا نهائية في عددها، فهي غير قابلة للعدّ.
وكأمثلة تقليدية لمتحولات عشوائية مستمرة: أطوال البشر وأوزانهم، أخطاء القياسات في تجربة مخبرية، عمر مصباح كهربائي.
وللحصول على نموذج احتمالي - في مثل هذه الحالة - يتم البحث عن منحن مستمر يمثل ما يدعى «دالة (تابع) الكثافة الاحتمالية»، ولتكن f (x)، التي يجب أن تحقق الشرطين الآتيين:
1) f (x) ≥ 0 من أجل جميع قيم x.
2) المساحة تحت منحني الدالة f (x) تساوي الواحد.
وعندئذ يكون احتمال أي حادثة عددية عبارة عن مساحة تحت منحني الكثافة هذا.
وهكذا نجد أن احتمال أن يأخذ المتحول العشوائي المستمر X قيمة من مجال ما [a, b] مثلاً - هو المساحة تحت منحني الكثافة فوق المجال [a, b] من محور الفواصل.
|   | |
| الشكل (1) | 
ونتيجة لذلك فإن احتمال أن يأخذ المتحول X قيمة عددية معينة a- مثلاً - هو الصفر؛ أي P (X =a) = 0 وذلك مهما تكن a من مجموعة الأعداد الحقيقية R.
وهكذا فإن مثل هذا الحل لمسألة إيجاد نموذج احتمالي لفراغ عينة مستمر يحتم القول إن احتمال أن يكون لمتحول عشوائي قيمة معينة هو احتمال يساوي الصفر. وهذا تعبير واقعي عن استحالة توصل الإنسان إلى أجهزة قياس دقيقة بصورة مطلقة. ولذلك تبقى هذه النتيجة مقبولة ما بقي الإنسان غير قادر على الادعاء بأن قياساته للأطوال أو الأوزان أو لعمر مصباح كهربائي أو لنتيجة تجربة يقوم بها في المخبر هي قياسات لا تخضع لأي خطأ على الإطلاق. إذ مهما أوتي جهاز القياس من الدقة، ومهما بلغت مهارة الإنسان الذي يستخدم الجهاز، فلا بد من ارتكاب خطأ مهما كان صغيراً.
وفي حين تتخذ منحنيات الكثافة أشكالاً مختلفة، يلاحظ أن عدداً كبيراً من المتحولات العشوائية في الطبيعة لها منحن تكراري، أو منحني كثافة؛ له تقريباً شكل الجرس (الناقوس)، أو ما يدعى منحني التكرار النظامي، أو منحني التوزيع النظامي normal distribution curve.
دالة كثافة التوزيع النظامي density function of normal distribution
يعدّ التوزيع النظامي من أهم التوزيعات الاحتمالية في علم الإحصاء، حيث إن كثيراً من البيانات في الطبيعة والصناعة والأبحاث تتوزع توزعاً طبيعياً، حيث يأخذ المنحني التكراري لها شكل الجرس.
وقد اهتم العديد من العلماء بدراسة هذا التوزيع، وإيجاد معادلة منحني دالة الكثافة له، وتحديد دالة التوزيع التراكمي Cumulative distribution function له، أو اختصاراً دالّة التوزيع distribution function.
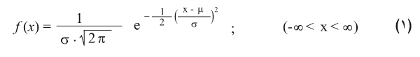
وقد عمل لابلاسPierre Simon Laplace مابين (1749-1829) في هذا المجال، وكذلك حصل غوص Carl Friedrich Gauss مابين (1777-1855) على منحني الجرس في أثناء دراسته للأخطاء المرتكبة في قياسات متكررة لكمية واحدة. وسُمِّي منحني الدالة «منحني غوص»، كما يدعو بعضهم التوزيع النظامي «توزيع غوص». وتعرف رياضياً دالّة الكثافة الاحتمالية للتوزيع النظامي على الشكل:
 
 
وهي معادلة منحن له شكل الجرس المبين في الشكل (1). حيث:
1) π عدد ثابت يساوي تقريباً 3.1416
2) e عدد ثابت يساوي تقريباً 2.7183
3) μ وسيط يساوي متوسط mean التوزيع .
4) σ وسيط يساوي الانحراف المعياري standard deviation للتوزيع.
وللتوزيعات النظامية المختلفة متوسطات μ مختلفة، وانحرافات معيارية σ مختلفة؛ إلا أنه من أجل منحن معين يبقى كل من μ و σ ثابتاً؛ لذا يرمز للتوزيع الطبيعي بالرمز N (μ, σ). والتوزيع النظامي N (0, 1) له دالة كثافة احتمالية.
 
 
ويدعى التوزيع النظامي المعياري standard normal distribution.
ويبرهن في الحساب التكاملي على أن المساحة تحت منحني الدالة:
  
  
يساوي
 
 
ومن ثم فإن المساحة تحت المنحني النظامي تساوي الواحد.
|   | |
| الشكل (2) | 
ويلاحظ أن المنحني متناظر حول المحور المار من المتوسط μ، وأن النقطة x = μ هي النقطة التي يتمركز عندها التوزيع، وينتشر على جانبيها بصورة متناظرة، وأن الدالة تبلغ نهايتها العظمى عند النقطة x = μ، ويعاني المنحني انعطافاً عند النقطتين μ − σو μ + σ.
كما يلاحظ أنه من أجل قيم صغيرة للانحراف المعياري σ يكون انتشار المنحني على جانبي المتوسط μ محدوداً، في حين ينتشر إلى مسافات أبعد ويأخذ شكلاً أكثر انبساطاً عندما يكون الانحراف المعياري σ كبيراًً، في حين تبقى المساحة تحت المنحني دوماً مساوية للواحد.
| 
 | 
 | 
| الشكل (3) | الشكل (4) | 
ونادراً ما توجد في الواقع العملي متحولات عشوائية مستمرة تمتد قيمها بين «اللانهاية السالبة» و«اللانهاية الموجبة»، أي من أقصى المحور الحقيقي يساراً إلى أقصاه يميناً.
قانون لابلاس - غوص
إن احتمال أن يأخذ المتحول العشوائي النظامي X قيمة عددية أقل من x هو:
 
 
وهو ما يسمى قانون لابلاس - غوص Laplace - Gauss law [واضح أن P (X < x) = P (X ≤ x)].
وهو القانون الذي يعين دالة التوزيع التراكمي للتوزيع النظامي، والتي يرمز لها بـ Fx(x) أو اختصاراً F (x)، حيث إن F (x) = P (X ≤ x).
ومن ثمّ فإن احتمال أن يأخذ المتحول العشوائي النظامي X قيمة عددية أقل من x2 وأكبر من x1 هو:
 
 
أي إن:
P (x1< X < x2) = P (X < x2) - P (X < x1)
أي إن:
P (x1< X < x2) = F (x2) - F (x1)
وهي المساحة المظلّلة في الشكل (5). واضح أن قيمة الاحتمال P (X < x) تتغير تبعاً لقيمتي المتوسط μ والانحراف المعياري σ. وهذا ما يتطلب كتابة جداول لا عدد لها لتعيين قيم دالّة التوزيع F (x) من أجل كل قيم المتحول العشوائي X. من أجل ذلك يغيَّر المتحول t في التكامل (1)، حيث يفرض:
 
 
فيكون t = σ. u + μ
 
 
ويصبح التكامل:
 
 
| 
 | 
| الشكل (5) | 
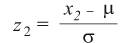
وعندما تكون قيمة المتحول العشوائي النظامي X محصورة بين القيمتين x1 و x2 تكون قيمة المتحول العشوائي النظامي المعياري Z محصورة بين القيمتين z1 و z2 حيث:
 
 
و
 
 
ويكون P (x1< X < x2) = P (z1< Z < z2).
أي يكفي إعداد جدول واحد لقيم التكامل في العلاقة (4) للحصول على قيم الاحتمال المطلوبة لأي متحول عشوائي X يخضع للتوزيع النظامي N (σ, μ) وذلك مهما تكن قيمة كل من الوسيطين μ و σ، وهذا ما هو حاصل فعلاً.
مثال (1): إن احتمال أن يأخذ المتحول العشوائي النظامي المعياري Z قيمة أقل من n1.74 n هي
P (Z < 1.74) = 0.9591n، وذلك من الجدول (1) المرفق.
 
  
ـ إن تناظر منحني التوزيع النظامي المعياري N (0, 1) يجعل F (- z) = 1 - F (z) وهذا يجعل الجدول (1) يحوي قيم z الموجبة فقط (ومع هذا ذكرت القيم السالبة للتبسيط).
مثال (2): اعتماداً على الجدول (1) المرفق يكون: F (- 0.84) = P (X < -0.84) = 0.2005
ـ إن P (X ≥ x) = 1 - P (X < x) = 1 - F (x)) لأن الحادثين متتامان .
مثال (3): إن P (Z ≥ 1.84) = 1 - P (z < 1.84) = 1 - F (1.84) = 1 - 0.9671 = 0.0329
مثال (4): إن P (0.74 ≤ Z < 1.87) = F (1.87) - F (0.74) = 0.9693 - 0.7704 = 0.1989
إذا كانتa > 0 فإن:
P (- a < X < a) = P (X < a) - P (- a < X) = 2.F (a) -1
أي إنه إذا كانت a < 0 فإن P (|X| < a) = P (- a < X < a) = 2.F (a) -1
في حين P (|X| > a) = 1 - P (|X| < a) = 2. F (a))
يمكن الحصول على النتائج التالية من الجدول (1):
1) إن المساحة تحت المنحني المحصورة بين z = -1 وz = 1 هي 0.6826
2) إن المساحة تحت المنحني المحصورة بين z = -2 و z = 2 هي 0.9554
3) إن المساحة تحت المنحني المحصورة بين z = -3 و z = 3 هي 0.9974
4) إن المساحة تحت المنحني المحصورة بين z = -3.4 و z = 3.4 هي 0.9994
فالمنحني يتقارب بسرعة من محور الفواصل والاحتمال خارج المجال [-3.4, 3.4] يساوي الصفر تقريباً.
مثال (5): في التوزيع النظامي N (5, 2) للمتحول العشوائي X يكون متوسط التوزيع μ = 5 والانحراف المعياري σ = 2، فلحساب الاحتمال من أجل:
X < 9; X < 4; 1 < X < 9; |X| > 7
تحسب الاحتمالات المقابلة للمتحول النظامي المعياري من أجل:
Z < 2; Z < -1/2; -2 < Z < 2; |Z| > 1
(اعتماداً على التحويل )، فيكون:
1) P (X < 9) = P (Z < 2) = F (2) = 0.9772
2) P (X < 4) = P (Z < -1/2) = 1 - F (-1/2) = 0.6915
3) P (1 < X < 9) = P (-2 < Z < 2) = F (2) - F (-2) = 0.9544
4) P (|X| > 7) = P (|Z| > 1) = 2.[ 1 - F (1)] = 0.3174
مثال (6): موظف يعمل في السنة 250 يوماً. يبدأ دوامه الساعة الثامنة صباحاً، يحتاج للوصول إلى مقر عمله مدة 43 دقيقة وسطياً, بانحراف معياري قدره ثلاث دقائق ونصف. يغادر منزله في الساعة السابعة وعشر دقائق صباحاً تجنباً للتأخير. فإذا كان الوقت الذي يستغرقه للوصول إلى مقر عمله متغيراً عشوائياً X يخضع للتوزيع الطبيعي؛ فإن احتمال تأخره عن الوصول قبل الثامنة هو:
 
 
وهكذا فإن عدد الأيام المتوقع أن يتأخر فيها في العام هو: m205 X 0.0228 = 5.7m أي إنه يتأخر ما يقارب ستة أيام في العام الواحد.
أنور اللحام
| مراجع للاستزادة: | 
ـ أنور اللحام، مبادئ الإحصاء والاحتمال (منشورات جامعة دمشق، 1985).
- RONALD E. WALPOLE, Elementary Statistical concepts (Macmillan Publishing Co. 1976).
- التصنيف : الرياضيات و الفلك - النوع : أعلام ومشاهير - المجلد : المجلد السادس عشر، طبعة 2006، دمشق - رقم الصفحة ضمن المجلد : 753 مشاركة :
 
                   
                     
                     
                     
                     
  
  
  
                 
									 
									 
									 
									 
									 
									 
									 
									 
									 
									 
									 
									 
									 
									 
									 
									 
									 
									 
									 
									 
									