مغنطيسيه راكده
Magnetostatics - Magnétostatique

المغنطيسية الراكدة

 

المغنطيسية الراكدة (أو الساكنة) magnetostatics هي دراسة الحقول المغنطيسية في الحالة المستقرة، وهي الحالة التي يكون فيها الحقل المغنطيسي مستقلاً عن الزمن؛ أي الحالة التي تكون فيها قيمته وجهته في نقطة معينة ثابتتين، ولا تتعلقان إلا بموضع تلك النقطة. ينشأ الحقل المغنطيسي[ر] عن مغنطيس[ر] أو تيار كهربائي أو عن شحنات متحركة أو عن حقل كهربائي متغير، ويكون مستقراً في جوار المغنطيس الدائم أو التيار الكهربائي المستمر الذي يجري في ناقل، ويدعى بالحقل المغنطيسي الراكد. ويؤثر هذا الحقل المغنطيسي بقوى مغنطيسية في شحنات كهربائية متحركة ونواقل تجري فيها تيارات كهربائية، مثلما يؤثر الحقل الكهربائي الراكد في الشحنات الكهربائية.

لمحة تاريخية

عُرفت المغنطيسية الراكدة منذ العصور القديمة، وترجع دراستها بصورة تجريبية إلى القرن الثالث عشر الميلادي. لكن الفضل في تحويل المشاهدات الوصفية إلى قوانين كمية

يرجع إلى العالم الفرنسي كولون Coulomb في القرن الثامن عشر. ويرجع اكتشاف الحقل المغنطيسي الراكد الناتج عن تيارات كهربائية إلى أورستد[ر] Oersted في عام 1820.

كان أورستد يلقي محاضرة على طلاب الفيزياء عندما وضع - عن طريق المصادفة - سلكاً يمر فيه تيار كهربائي بالقرب من إبرة البوصلة. وكانت دهشته لا توصف عندما لاحظ أن الإبرة تدور صانعة زوايا قائمة مع السلك. كما لاحظ أنه إذا انقطع التيار الجاري في السلك توجهت الإبرة باتجاه الحقل المغنطيسي الأرضي، وإذا انعكست جهة التيار عكست الإبرة جهتها. لقد برهن اكتشاف أورستد على أن المغنطيسية والكهرباء مترابطتان، إذ يمكن للتيار الكهربائي أن يولِّد حقلاً مغنطيسياً. يُعد اكتشاف أورستد هذا من أكبر نقاط التحول في تاريخ الفيزياء، إذ شكّل اكتشافه - مع اكتشاف فارادي[ر] Faraday اللاحق الذي مؤداه أن المغنطيس المتغير يولد تياراً كهربائياً في دارة مجاورة - الأساس الذي قامت عليه كل من نظرية مكسويل[ر] J.C.Maxwell الموحدة للكهرمغنطيسية ومعظم التقانة الكهربائية الحديثة.

بمجرد أن أظهرت تجربة أورستد أن للتيارات الكهربائية آثاراً مغنطيسية أدرك العلماء أنه يجب أن توجد قوى مغنطيسية بين التيارات الكهربائية، فبدؤوا بدراسة القوى مباشرة. وقد لاحظ الفيزيائي الفرنسي فرانسوا أراغو F.Arago في عام 1820 أن التيار الكهربائي يوجه برادة الحديد غير الممغنط في دائرة حول السلك الذي يمر فيه هذا التيار. وفي السنة ذاتها طوَّر فيزيائي فرنسي آخر - هو أندريه ماري أمبير André-Marie Ampère - مشاهدات أورستد إلى علاقات كمية. بيَّن أمبير أن سلكين متوازيين يجري فيهما تياران كهربائيان يتجاذبان، أو يتدافعان كما يحصل بين المغانط. إذا جرى التيار الكهربائي في جهة واحدة في السلكين؛ فالسلكان يتجاذبان، أما إذا كانت الجهتان متعاكستين؛ فالسلكان يتدافعان. ومن هذه التجربة استطاع أمبير أن يصوغ قاعدة اليد اليمنى التي تحدد جهة القوة المؤثرة في تيار موضوع في حقل مغنطيسي. كما أنه وضع قوانين القوة المغنطيسية بين التيارات الكهربائية تجريبياً وكمياً.

اقترح أمبير أن التيارات الكهربائية الداخلية (في المواد) مسؤولة عن المغانط الدائمة وعن قابلية بعض المواد كالحديد للتمغنط بشدة. وبرهن مع أراغو على أن الإبر الفولاذية تصبح مغنطيسيتها أقوى داخل وشيعة يجري فيها تيار كهربائي. وبينت التجارب التي أجريت على وشائع صغيرة - وعند مسافات بعيدة - أن القوى بين مثل هذه الوشائع مشابهة للقوى بين مغنطيسين صغيرين؛ وفوق ذلك أن بالإمكان الاستعاضة عن إحدى الوشيعتين بقضيب مغنطيسي بحجم مناسب من دون أن تتغير القوى. كما عيِّن العزم المغنطيسي لهذا المغنطيس المكافئ بوساطة أبعاد الوشيعة وعدد لفاتها والتيار الجاري فيها.

استخدم وليَم ستورجيون William Sturgeon من إنكلترا وجوزيف هنريJoseph Henry من الولايات المتحدة اكتشاف أورستد لتطوير مغانط كهربائية[ر: المغنطيس الكهربائي] في العشرينيات من القرن التاسع عشر. فعمد ستورجيون إلى لف 18 لفة من سلك نحاسي مكشوف حول قضيب حديدي على شكل حرف U، وعند إغلاق القاطعة ومرور التيار يصبح القضيب مغنطيساً كهربائياً قادراً على رفع وزن يعادل عشرين ضعفاً من وزنه. وعند فتح القاطعة وانقطاع التيار تزول المغنطة عن القضيب. أعاد هنري عمل ستورجيون في عام 1829 مستخدماً سلكاً معزولاً لمنع حدوث دارة قصيرة. وباستعماله مئات اللفات تمكّن من صنع مغنطيس كهربائي يستطيع أن يرفع أكثر من طن حديداً.

يتبين من هذا العرض الوصفي أن تجارب أورستد ومشاهداته دلّلت على الأثر المغنطيسي للتيار الكهربائي، كما أن تجارب أمبير ومشاهداته دلَّلت على وجود تأثير الحقل المغنطيسي على التيار الكهربائي ومن ثم التأثير المتبادل بين التيارات الكهربائية.

القوة المغنطيسية:

 
 

الشكل (1)

أ- حالة شحنة متحركة: بفرض شحنة كهربائية نقطية q تتحرك بالسرعة v في منطقة من الفراغ حيث يوجد حقل تحريض مغنطيسي قيمته B. يؤثر هذا الحقل بقوة F تتناسب قيمتها طرداً مع كل من الشحنة والحقل ومركبة السرعة العمودية على الحقل. فإذا تحركت الشحنة بصورة موازية للحقل (في اتجاهه أو معاكسة له) كانت القوة المؤثرة فيها معدومة. أما جهة هذه القوة فهي ليست جهة الحقل (كما هو حال القوة الكهراكدة)، لكنها تكون دوماً عمودية عليه وعلى السرعة معاً، أي عمودية على المستوي المتشكّل منهما. يمكن تلخيص خواص القوة المغنطيسية بالرجوع إلى الشكل (1)، وتعطى قيمتها من العلاقة:

حيث Φ هي الزاوية بين متجهة السرعة v ومتجهة الحقل B كما هو مبين في الشكل (1) وحيث v^هي مسقط متجهة السرعة على الاتجاه العمودي على الحقل. لكن هذه المعادلة لا تحدد جهة القوة بصورة كاملة، فهناك دوماً جهتان متعاكستان للقوة تبقى فيهما عمودية على السرعة والحقل. لتحديد القوة بالقيمة والاتجاه يمكن استخدام خواص الجداء المتجه وكتابة العلاقة السابقة على شكل جداء متجه كما يأتي:

تشير هذه المعادلة إلى أن القوة عمودية على السرعة فهي قوة حارفة للشحنة وتنعدم عندما تنعدم السرعة، أي إن حقل التحريض المغنطيسي لا يؤثر في الشحنات الساكنة. كما تنعدم عندما تتحرك الشحنة موازية للحقل، وتكون عظمى عندما تتحرك الشحنة متعامدة مع الحقل.

وهناك عدة قواعد لمعرفة جهة القوة، أهمها قاعدة اليد اليمنى وقاعدة البزال. تنص قاعدة اليد اليمنى على أنه - من أجل شحنة موجبة - إذا التفت أصابع اليد اليمنى باتجاه دوران ؛ لتنطبق على فإن جهة الإبهام تشير إلى جهة القوة. وتنص قاعدة البزال على أنه إذا دُوِّر البزال باتجاه دوران ؛ كي تنطبق على  فإن جهة انتقال البزال هي جهة القوة من أجل شحنة موجبة.

تستنتج الوحدة التي تقيس التحريض المغنطيسي من المعادلة (1)، وهي تساوي N.C-1.m-1.s؛ أي [نيوتن/(كولون. متر/ثانية)] في الجملة الدولية، ويطلق عليها اسم W.m-2m؛ أي (فيبر/متر مربع) أو تسلا T، وهي تكافئ N.A-1.m-1m؛ أي (نيوتن/أمبير. متر).

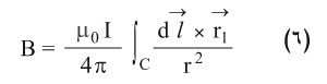
ب - حالة تيار كهربائي يجري في ناقل: يمكن اعتبار التيار I مجموعة من الشحنات المتحركة، يحتوي كل عنصر منه طوله dl شحنة عنصرية dqيؤثر فيها التحريض بقوة عنصرية تعطى بالعلاقة:

وذلك؛ لأن

لإيجاد القوة الكلية المؤثرة في الدارة C أو كل السلك الذي يمر فيه التيار يجري استكمال المعادلة (3) على الدارة C بأكملها، كما في العلاقة الآتية:

وتدعى هذه العلاقة قانون لابلاس[ر].

قانون بيو- سافار :Biot-Savart

 

 

الشكل (2)

هو صيغة كمية أساسية بين التيار الكهربائي وحقل التحريض المغنطيسي B الذي يولده مبنية على التجارب التي قام بها العالمان الفرنسيان جان باتيست بيو J.B.Biot وفليكس سافار F.Savard في عام 1820. يمكن اعتبار قيمة الحقل المغنطيسي في نقطة في الفضاء المحيط بالناقل الذي يجري فيه تيار I محصلة مجموع كل الحقول العنصرية التي تولدها كل عناصر الناقل . وتعطى متجهة التحريض المغنطيسي العنصري dB التي تولدها قطعة صغيرة من السلك تبعد عن العنصر مسافة r بالعلاقة:

حيث جهة هي جهة التيار و هي متجهة الواحدة المحمولة على التي تبدأ من عنصر التيار، وتنتهي عند النقطة التي يحسب عندها التحريض، (الشكل 2). أما μ0m فثابتة ذات أبعاد؛ وتدعى نفاذية الخلاء permeability، وتساوي قيمتها في الجملة الدولية P x 10-7Tm2/A.

يحسب التحريض الكلي الناتج من الدارة C بأخذ تكامل المعادلة (5) على مجمل الدارة C؛ أي:

خواص التحريض المغنطيسي

 

 

الشكل (3)

تستنتج خواص التحريض المغنطيسي الناتج من عنصر dl من عروة تيار I في نقطة P تبعد عنه مسافة r من المعادلة (5). بعد الرجوع إلى الشكل (3) يلاحظ أن:

1 - طويلة التحريض العنصري تعطيها العلاقة:

حيث α هي الزاوية بين عنصر التيار dl وr، التي يمكن كتابتها على الشكل الآتي:

حيث هي الزاوية التي يرى ضمنها العنصر dl من النقطة P.

2 - التحريض المغنطيسي عمودي على المستوي المتشكل من dl وr.

3 - تتعين جهة التحريض المغنطيسي بحيث تكون الثلاثية مباشرة. أي مثل الثلاثية (x, y, z)، وبصورة خاصة يمكن تعيين جهة التحريض العنصري بمساعدة إحدى القواعد الآتية:

أ- قاعدة اليد اليمنى: يقبض على التيار باليد اليمنى ويجعل الإبهام باتجاه التيار فجهة التحريض هي جهة التفاف الأصابع على التيار.

ب - قاعدة البزال: يتقدم البزال اليميني باتجاه التيار في أثناء دورانه في جهة التحريض.

أما عن تمثيل التحريض المغنطيسي على ورقة الرسم، فقد اصطلحت إشارة الضرب × لتدل على التحريض الداخل إلى الورقة وإشارة النقطة. أو الدائرة O للتحريض الخارج من الورقة، مع الأخذ بالاعتبار أن التيار يقع في مستوي الورقة. هذا ويمكن استخدام الرمز السابق للتيار أيضاً إذا رسم التحريض في مستوي الورقة.

تطبيقات قانون بيو- سافار:

 

 

الشكل (4)

أ-التحريض في مركز تيار دائري (وشيعة أو سوار) تعطى قيمته بالعلاقة:

حيث R نصف قطر الدائرة وN عدد اللفات. أما جهته فعمودية على مستوى السلك (مستوى الورقة) وتتجه خارجة من المستوي إذا كان التيار يجري بعكس اتجاه دوران عقارب الساعة كما يشير إلى ذلك الشكل (4)، والعكس بالعكس.

ب - التحريض في نقطة تقع على محور وشيعة، وتبعد مسافة x عن مركزها:

التحريض يوازي المحور، وتتحدد جهته بجهة التيار (الشكل 5)،

   

وتعطى قيمته بالعلاقة:

 

الشكل (5)

 

 

الشكل (6)

ج- التحريض الناتج عن تيار مستقيم طويل جداً في نقطة تبعد عنه مسافة d: بفرض d <<  طول المستقيم، يعطى التحريض بالعلاقة:

وهو عمودي على مستوى الورقة التي يقع فيها المستقيم، ويتجه نحو الورقة(من أجل هذه الحالة) أو خارجاً منها حسب جهة التيار (الشكل 6).

د- التحريض على محور ملف طويل، طوله l، وعدد لفاته N: تعطى قيمة التحريض على محور الملف بالعلاقة:

حيث n عدد اللفات بوحدة الطول. وقيمة التحريض المغنطيسي B في أي نقطة داخل ملف متراص اللفات طوله l كبير بالنسبة لنصف قطره R تكاد تكون ثابتة، وهي توازي المحور، وتعطى بتقريب جيد بالعلاقة (12)، وباستثناء النقاط القريبة من الأطراف (الشكل 7).

الشكل (7)

 

قانون أمبير

يكتب قانون أمبير على النحو الآتي:

وينص على أن التكامل الخطي للتحريض المغنطيسي B على طريق مغلق يساوي جداء النفوذية في التيار الصافي i المحصور بهذا الطريق المغلق. إذا كان الطريق المغلق يحيط بكل التيار I؛ فعندئذ يصبح قانون أمبير:

يستخدم قانون أمبير لحساب التحريض المغنطيسي في الحالات التي يكون فيها توزع التيار شديد التناظر؛ لأن حساب التكامل يصبح سهلاً في مثل هذه الحالات. أما فيما عدا ذلك فيكون تطبيقه صعباًً، ويفضل اللجوء إلى طرق أخرى كاستخدام قانون بيو - سافار.

تطبيقات قانون أمبير:

 

 

الشكل (8)

حساب التحريض المغنطيسي B الناتج عن سلك أسطواني طويل نصف قطره R ويجري فيه تيار شدته I0. موزع بانتظام على مقطعه: نظراً للتناظر الموجود في توزع التيار على مقطع السلك؛ فإن خطوط التحريض تكون دوائر متمركزة مع السلك. ولما كان السلك طويلاً جداً فقيمة التحريض تكاد تكون واحدة من أجل جميع نقاط السطح الأسطواني المتمركز معه جميعها ولا يشذ عن ذلك إلا أجزاء السطح القريبة من نهايتي السلك. لذلك يمكن اختيار الطريق المغلق لإجراء التكامل عليه سطحاً أسطوانياً متمحوراً مع السلك، كما هو مبين في (الشكل 8).

يعطى التحريض المغنطيسي في جميع النقاط التي تبعد مسافة r عن محور السلك بالعلاقة:

من أجل r < R داخل السلك، وبالعلاقة:

من أجل r > R خارج السلك، وبالعلاقة:

على سطح السلك حيث r = R وتستنتج من إحدى العلاقتين السابقتين بوضع r = R.

القوة بين ناقلين مستقيمين متوازيين ولانهائيين

 

 

الشكل (9)

يبين الشكل (9) سلكين متوازيين تفصل بينهما المسافة d ويجري فيهما تياران Ia وIb في جهة واحدة. لحساب القوة التي يؤثر بها السلك a في السلك b، يعد السلك b مغموراً في حقل التحريض الذي يولده السلك a، فيخضع كل طول l منه إلى قوة جذب، في هذه الحالة، عمودية عليه تعطيها العلاقة:

حيث:

وتعطى قيمتها بالعلاقة:

وبالمثل فإن السلك a يخضع كذلك إلى قوة جذب Fa مساوية للقوة Fbومعاكسة لها. لو كان التياران في السلكين متعاكسين أصبحت القوة قوة دفع. في الحالة الخاصة التي يتساوى فيها التياران؛ أي Ia = Ib = I تصبح القوة المؤثرة في طول l من كل من السلكين:

تستعمل قوة الجذب بين سلكين متوازيين طويلين التي تعطيها العلاقة (17) لتعريف الأمبير، وهو وحدة شدة التيار في الجملة الدولية، كما يأتي: الأمبير هو شدة تيار كهربائي إذا مرّ في ناقلين مستقيمين متوازيين طول كل منهما غير محدود وتفصل بينهما مسافة متر واحد في الخلاء أنتج قوة تساوي 2 ×10-7 نيوتن في كل متر من طول الناقلين.

قانون غوص في المغنطيسية

ينص قانون غوص في المغنطيسية على أن التدفق المغنطيسي الصافي من خلال أي سطح مغلق معدوم. ويكتب على النحو الآتي:

وهذا القانون صحيح لأن خطوط التحريض تشكل دوائر أو منحنيات مغلقة حول التيار الذي يولدها، وكل خط تحريض يدخل السطح ينبغي أن يتركه أيضاً.

ذو القطبين المغنطيسي (القطباني)

من المعلوم في المغنطيسية أنه لايمكن فصل الأقطاب الشمالية عن الأقطاب الجنوبية، لذا فإن أبسط تركيب مغنطيسي يمكن أن يوجد هو ذو القطبين (القطباني) المغنطيسي magnetic dipole. يمكن عدّ عروة التيار والقضيب المغنطيسي والملف ذي الطول المحدود أمثلة على ذي القطبين المغنطيسي. يتميز القطباني المغنطيسي بعزمه المغنطيسي الذي يمكن قياسه بقياس عزم الفتل الذي يخضع له عند وضعه في حقل مغنطيسي خارجي B من المعادلة:

حيث:

تمثل متجهة سطح العروة وI تيار العروة. كما يمكن قياس هذا العزم بقياس التحريض المغنطيسي Bi الذي يولده في نقطة تقع على محوره وتبعد عن مركزه مسافة r. وتعطى قيمة هذا التحريض، بالعلاقة:

المغنطيسية الراكدة في المادة

كانت الشحنات في كل ما سبق، تتحرك في الخلاء وكانت النواقل التي تجري فيها التيارات موضوعة في الخلاء، ومن ثم كانت الحقول المغنطيسية تتولد في الخلاء. إذا وجدت مادة في الوسط المحيط بالنواقل، فالحقل المغنطيسي سيتغير. فالذرات التي تكوّن المادة تحتوي على إلكترونات في حالة حركة، وتشكل هذه الحركة عرى تيارات مجهرية مؤهلة لتوليد حقول مغنطيسية خاصة بها. وفي كثير من المواد تكون اتجاهات هذه التيارات عشوائية فلا ينتج عنها حقل مغنطيسي صاف. ولكن بعضها الآخر يجعل العرى تتوجه مع الحقل مما يجعل حقولها المغنطيسية تضاف إلى الحقل الخارجي. يقال عن المادة في هذه الحالة: إنها تَمَغْنَطَت. وهذا ما يحصل في المواد المسماة بذات المغنطيسية المسايرة[ر] paramagnetic، وتكون النتيجة أن الحقل المغنطيسي في أي نقطة في هذه المواد يكون أكبر مما هو عليه في حال غيابها بعامل km يدعى النفاذية النسبية للمادةrelative permeability. ويكون العكس هو الصحيح في المواد التي تعرف بذات المغنطيسية المعاكسة[ر] diamagnetic؛ أي إن حقل التحريض في داخلها أقل. وعليه فإن كل المعادلات التي تربط الحقول المغنطيسية بالتيارات التي تولدها يجب تعديلها عندما يكون الناقل مغموراً بمادة ذات مغنطيسية مسايرة أو معاكسة بوضع نفاذية الوسط بدلاً من نفاذية الخلاء؛ أي بوضع μ = km μ0m. ينتج عن ذلك أنه يجب أخذ هذا بالحسبان في المعادلات السابقة جميعها.

كذلك يقوم تيار الانزياح displacement current بدور في توليد حقل مغنطيسي طفيف إضافة إلى تيار النقل الذي كان يعدّ المصدر الوحيد لتوليد الحقل المغنطيسي. وفي هذا السياق يمكن الرجوع إلى قانون أمبير وتعديله في حال وجود وسط غير الهواء بإضافة تيار آخر إلى تيار النقل ICهو تيار الانزياح ID. وعليه تصبح الصيغة العامة لقانون أمبير (14) على النحو الآتي:

وهكذا، فالتحريض المغنطيسي الناتج عن سوار أو وشيعة وبداخلها نواة حديدية يجب أن يكتب كما يأتي:

حيث:

هو التحريض الناتج عن اللب داخل السوار.

ومن جهة ثانية، يمكن زيادة قيمة التحريض في حال غياب اللب الحديدي حتى تصل القيمة التي نحصل عليها مع وجود اللب؛ وذلك بزيادة التيار المار في السوار، بمقدار Im. يمكن القول إن تمغنط النواة يكافئ في تأثيره في B زيادة افتراضية في التيار. وعليه يمكن تعديل المعادلة (23) بإضافة حد جديد ندعوه تيار التمغنط In إلى التيار I0 يكافئ BM؛ فتنتج المعادلة الجديدة:

يمكن ربط تيار التمغنط الافتراضي Im بشيء أكثر واقعية وقرباً إلى الصورة الفيزيائية؛ وهو التمغنط ، وهو عزم القطباني المغنطيسي للمادة بوحدة الحجم؛ أي: M = n Im0 =Imوبالتعويض في المعادلة (24) تصبح هذه الأخيرة:

التي تكتب على النحو الآتي:

يرمز الطرف الأيمن من المعادلة (26) إلى متجهة جديدة تسمى متجهة الحقل المغنطيسي أو شدة الحقل المغنطيسي H.

من مقارنة المعادلتين الأخيرتين ينتج

المعادلتان (27) و(28) هما المعادلتان المعرّفتان للحقل .

إن قانون أمبير (المعادلة 14) لا ينطبق إلا من أجل حقول مغنطيسية ناتجة عن تيارات كهربائية في حال عدم وجود مواد مغنطيسية. أما في حال وجود هذه المواد فإنه لا يبقى صحيحاً؛ لأن قيمة B في الحالتين مختلفة على الرغم من عدم تغير قيمة I. إذا استعيض الآن عن B في قانون أمبير السابق بالمتجهة أي H؛ يصبح القانون:

وهي صيغة جديدة لقانون أمبير تنطبق في جميع الأحوال، سواء أوجدت مواد مغنطيسية أم لم توجد. وتمثل I التي هي في الطرف الثاني من المعادلة (29) التيار الحقيقي الجاري في اللفات فقط. وهذا يدل على أن H لا علاقة لها بمادة النواة. وتحسب مباشرة من المعادلة (28)، أما فتقاس تجريبياً.

محمد قعقع

الموضوعات ذات الصلة:

الحقل المغنطيسي ـ المغنطيس الكهربائي.

مراجع للاستزادة:

ـ محمد قعقع، الفيزياء العامة (الجزء الأول) (مطبعة المدينة، دمشق 1976).

- SEARS, ZEMANSKY & YOUNG, University Physics (Addison-Wesley 1987).


- التصنيف : الكيمياء و الفيزياء - النوع : علوم - المجلد : المجلد التاسع عشر، طبعة 2007، دمشق - رقم الصفحة ضمن المجلد : 202 مشاركة :

متنوع

بحث ضمن الموسوعة