الأعداد (منظومات-)
اعداد (منظومات)
Number systems - Systèmes des nombres
الأعداد (منظومات ـ)
نبيه عودة
تُعرّف منظومة أعداد number systemفي الرياضيات بأنّها مجموعة من الأعداد المزوّدة بعدد من العمليات الداخليّة كالجمع والضرب. من المجموعات العدديّة المألوفة: الأعداد الطبيعيّة، والصحيحة، والمُنْطَقة (الكسرية)، والحقيقيّة، والعقديّة.
البناء المنطقي لمنظومات الأعداد المألوفة
آ- الأعداد الطبيعيّة: يُرمز إليها بالرمز N. حدّد عالم الرياضيات بيانو Peano الموضوعات المنطقيّة الخاصّة بالأعداد الطبيعيّة كما يأتي:
- الموضوعة الأولى: هناك عددٌ طبيعي (صفر) يُرمز إليه بـالرمز
.
- الموضوعة الثانية: هناك لكل عدد طبيعي
عددٌ طبيعي لاحق يُرمز إليه بـالرمز
.
- الموضوعة الثالثة: ليس هناك عددٌ طبيعي يكون العدد اللاحق له العدد
.
- الموضوعة الرابعة: يكون لكل عددين طبيعيين مختلفين عددان لاحقان مختلفان، وهذا يعني أنّ
يكافئ
.
- الموضوعة الخامسة: إذا تحققت خاصّة ما عند العدد الطبيعي
وتحققت أيضاً عند كلّ عدد لاحق لعدد طبيعي تتحقق عنده هذه الخاصة؛ فإنّ هذه الخاصّة تكون محققة عند كل الأعداد الطبيعيّة.
انطلاقاً من هذه الموضوعات يمكن تعريف مجموعة الأعداد الطبيعيّة بالعلاقة (1):

تُعرّف العمليات الحسابيّة على مجموعة الأعداد الطبيعيّة، ومن هذه العمليات على سبيل المثال:
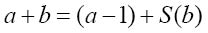
1 - الجمع: يعتمد على تطبيق متكرر لموضوعة لاحق العدد:

ينتج من هذا التعريف أنّ:

وهذا يبرر استخدام الكتابة
عوضاً عن
.
2 - الضرب: يعتمد على تطبيق متكرر لعمليّة جمع عددين طبيعيين:

وهذا يعرّف بالتدريج ناتج ضرب العدد الطبيعي
بأي عدد طبيعي
.
يُكتب ناتج الضرب
أيضاً بأحد الأشكال:
.
ب- الأعداد الصحيحة: يُرمز إليها بالرمز Z. تُوَسّع مجموعة الأعداد الطبيعيّة N بأن يُنسب إلى كل عدد طبيعي مغاير للصفر
عدد صحيح يرمز إليه بالرمز
. كما يُوسّع مجال تعريف التابع اللاحق لعدد طبيعي ليشمل الأعداد الصحيحة من خلال القاعدة
.
تُعرّف عمليّة جمع عددين صحيحين كما يأتي:
• أياً كان العددان الطبيعيان
،
فإنّ:
.
• أياً كان العدد الصحيح
فإنّ:
.
• أياً كان العدد الصحيح
المغاير للصفر فإنّ:
.
تُعرّف عمليّة ضرب عددين صحيحين كما يأتي:
أياً كان العددان الطبيعيان
،
فإنّ:

وانطلاقاً من هذا يمكن إثبات صحّة الخاصّة:
.
جـ- الأعداد المُنْطَقة (الكسرية): يرمز إليها بالرمز Q. تُوسّع مجموعة الأعداد الصحيحة Z بإضافة مجموعة جديدة من الأعداد المُنْطَقة التي تُعرّف انطلاقاً من أزواج مرتّبة
، حيث
عددٌ صحيح و
عددٌ طبيعي مغاير للصفر. يُرمز إلى العدد المُنْطَق الموافق للثنائيّة
بالكتابة
.
• تُعرّف المساواة بين عددين مُنْطَقين كما يأتي:
إذا وفقط إذا كان
• إضافةً إلى ذلك، يُصْطلح أن يكون
أياً كان العدد الصحيح
.
د- الأعداد الحقيقيّة: يُرمز إليها بالرمز R. يمكن تعريف مجموعة الأعداد الحقيقيّة باستخدام متتاليات كوشي Cauchy المكوّنة من الأعداد المُنْطَقة Q. إذا كانت
متتالية من الأعداد المُنْطَقة Q فإنّها تشكل متتالية كوشي إذا وفقط إذا كانت تحقق الشرط المبين بالعلاقة (2):

تُعرِّف العلاقة (3):

علاقة تكافؤ على مجموعة متتاليات كوشي في حقل الأعداد المُنْطَقة. تُعَرّف الأعداد الحقيقيّة بأنّها مجموعة صفوف التكافؤ
لهذه العلاقة. تُشكِّل صفوف التكافؤ
حقلاً تبديلياً يُمثّل الأعداد الحقيقيّة R.
هـ- الأعداد العقديّة: يرمز إليها بالرمز
. هي مجموعة الأعداد التي تكتب بالشكل
حيث
و
عددان حقيقيان و
يرمز إلى عدد )تخيّلي( مربّعه يساوي (-1).
تمثيل الأعداد حاسوبياً
ليكن
عدداً طبيعياً )غالباً ما يكون زوجياً( يسمّى أساس التمثيل.
آ- تمثيل الأعداد الطبيعيّة: يعتمد تمثيل الأعداد الطبيعيّة حاسوبياً على الخاصّة الآتية:
كل عدد طبيعي
يكتب بطريقة وحيدة بالشكل المبين بالعلاقة (4):

يكتب تمثيل العدد
بالشكل
. فعلى سبيل المثال
يُمثّل العدد 13 بالأساس 2 حيث:
13 = 1×23 + 1×22 + 0×21 +1
إنّ قيم الأساس
الأكثر استخداماً في المنظومات الحاسوبيّة هي
،
،
،
.
يجري تعيين التمثيل لعدد طبيعي
بأساسٍ
بإجراء عمليات قسمة إقليديّة متتابعة وفق الخوارزميّة الآتية:

مثال: بتطبيق هذه الخوارزميّة في حالة العدد
وفق الأساس
يمكن الحصول على ما يلي:

ومنه يُكتب على التمثيل
.
ب- تمثيل الأعداد الحقيقيّة: أياً كان العدد الحقيقي
فإنّه هناك عددٌ صحيحٌ
بحيث يكون
، وهذا يعني أنّه هناك عددٌ وحيد
بحيث يكون:

أي إنّ العدد
يكتب بطريقةٍ وحيدة بالشكل:

يسمّى العدد
دليل العدد
. تعتمد طريقة التمثيل بالنقطة العائمة floating-point representation على اختيار عددٍ صحيح
يسمّى دقّة التمثيل precision إضافةً إلى عددين آخرين
و
يحدّدان مجال تغيّر الأس
. يُعرّف عدد النقطة العائمة floating-point number بأنّه العدد المُنْطَق الذي يكتب بالشكل المبين بالعلاقة (5):

إنّ تمثيل الأعداد بطريقة النقطة العائمة ليس وحيداً، فعلى سبيل المثال تمثل الكتابتان: 0.01×101 و 1.00 ×10-1 العدد
. لكي يكون تمثيل الأعداد الحقيقيّة بطريقة النقطة العائمة وحيداً يُشترط في هذا التمثيل أن يكون فيه الرقم الأوّل من يسار دليل العدد
غير معدوم؛ وعندئذٍ يأخذ تمثيل العدد الشكل المبين بالعلاقة (6):

تُسمّى طريقة التمثيل السابقة طريقة التمثيل بالنقطة العائمة القياسيّة normalized floating-point، تُسمّى الأعداد التي تُكتب وفق هذا الشكل أعداداً قياسيّة normalized numbers، فعلى سبيل المثال الكتابة 1.00 ×10-1 قياسيّة في حين أنّ الكتابة 0.01 ×101 ليست كذلك.
|
مراجع للاستزادة: - E. Landau, Foundations of Analysis, American Mathematical Soc., 2001. - M. L. Overton, Numerical Computing with IEEE Floating Point Arithmetic, SIAM, 2001. |
- المجلد : المجلد الثاني مشاركة :