التوازن الكيميائي
توازن كيميايي
Chemical equilibrium -
يمن الأتاسي
أنواع التوازنات في المحاليل المائية
التوازن الكيميائي Chemical Equilibrium لتفاعل هو حالة للتفاعل يكون فيها كل من المتفاعلات والنواتج بتراكيز لا تسعى إلى أيّ تغيّر مع الزمن. تنتج عادة هذه الحالة عندما يكون للتفاعل المباشر السرعة ذاتها التي للتفاعل العكسي. وعموماً تكون سرعتا التفاعل المباشر والعكسي ليستا معدومتين بل متساويتان. وبهذا لا يكون هنالك أي تغيّرات واضحة في تراكيز المتفاعلات والنواتج. وتُعرف هذه الحالة بالتوازن الديناميكي. ويعبّر ثابت التوازن K عن العلاقة التي تربط بين المواد الناتجة والمتفاعلة في تفاعل كيميائي عند وضع التوازن.
هنالك صنفان من التوازنات الكيميائية:
1. المتجانسة.
2. غير المتجانسة.
1- التوازنات الكيميائية المتجانسة: تكون فيها حالات المادة لجميع المواد المتفاعلة والناتجة ذاتها، فمثلاً تفاعل اصطناع النشادر ابتداء من غازي الآزوت (النتروجين) والهدروجين هو مثال عن توازن كيميائي متجانس تشكّل فيه المتفاعلات والنواتج مزيجاً متجانساً في الحالة الغازية (g) (المعادلة 1):
![]()
2- التوازنات الكيميائية غير المتجانسة: يكون فيها لواحد أو أكثر من المواد المتفاعلة أو الناتجة حالة مغايرة لحالة باقي المواد، مثال ذلك تفاعل غاز ثنائي أكسيد الكربون مع الكربون الصلب (s)؛ وينتج غاز أحادي أكسيد الكربون (المعادلة 2).
![]()
ويشار عادة إلى حالة المادة برمز يوضع بين قوسين بعد اسم المركب عند كتابة التوازن. وتشير الحروف s و lوg إلى الحالة الصلبة والسائلة والغازية بالترتيب، كما يُستعمل الرمز aq للإشارة إلى الإيونات المنحلة في الماء.
يمكن إيجاد العلاقة التي تربط بين طاقة جيبس الحرة Gibbs free energyللجملة المتفاعلة وثابت التوازن باستعمال مفهوم الكمونات الكيميائية.
أ-الكمون الكيميائي:
بحسب قواعد الترموديناميك تتميز كل مادة كيميائية بخاصية تدعى الكمون الكيميائي chemicalpotential، وهي تدل على ميل المادة إلى الدخول في تغير كيميائي (أو فيزيائي). ويقاس الكمون الكيميائي بواحدة جول/مول.
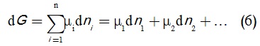
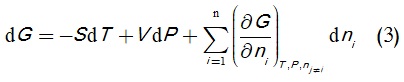
ففي جملة ترموديناميكية تضم n نوعاً مكوِّناً لها، بحيث يرمز إلى عدد جسيمات النوع i بالرمز ni، فعبارة تغير طاقة جيبس الحرة لهذه الجملة، تُكتب كما في المعادلة (3):

يسمى المقدار
الكمون الكيميائي للنوع i ويرمز إليه بالرمز µi ويكتب كما في المعادلة (4):

وبذلك تصبح عبارة تغير الطاقة الحرة لجيبس كما في المعادلة (5):

فالكمون الكيميائي µi للنوع iهو طاقة جيبس الحرة المولية الجزئية (أو عدد أفوكادرو من الجسيمات)، وهو نوع من أنواع الطاقة الكامنة التي يمكن أن تُمتص أو تتحرر نتيجة تغير ترموديناميكي في عدد المولات/أو الجسيمات (تفاعل كيميائي مثلاً). ويُحسب الكمون الكيميائي µi للنوع i عادة بالاشتقاق الجزئي لتابع الطاقة الحرة بالنسبة إلى عدد مولات النوع المعتبر مع بقاء عدد مولات الأنواع الأخرى ثابتة؛ إضافة إلى ثبات الضغط ودرجة الحرارة.
ونظراً لأن التفاعلات الكيميائية بمعظمها تُجرى تحت ضغط ودرجة حرارة ثابتين تؤول المعادلة (5) إلى المعادلة (6):

ب-الفعالية الكيميائية والحالات المعيارية (القياسية)
غالباً ما يعبَّر عن تبعية الكمون الكيميائي µi للنوع i لعدد الجسيمات بدلالة مقدار يسمى الفعالية الكيميائية chemical activityحيث يكتب كما في المعادلة (7):
![]()
حيث:
هو الكمون الكيميائي للنوع iفي الحالة المعيارية؛ أي تحت الضغط المعياري
،
الفعالية الكيميائية للنوع الكيمائي المدروس. وهي اصطلاحاً مقدار من دون أبعاد. وتعدّ الفعالية الكيميائية قياساً "للتركيز الفعال" للنوع i ضمن المزيج التفاعلي بوصفه ضمن محلول حقيقي. وعندما يكون المحلول مثالياً تصبح الفعالية قياساً للتركيز. وفيما يلي عبارات الفعالية في بعض الحالات.
1- حالة مكوِّن إيوني ضمن محلول:
عندما يكون النوع المدروس إيوناً في محلول يكون
حيث
و معامل الفعالية، وهو أيضاً مقدار بلا واحدة ويُعبر عن مدى ابتعاد سلوك المحلول المدروس عن المحاليل المثالية، وهو يساوي الواحد في حالة المحاليل المثالية. و Ci التركيز المولي للنوع المدروس مقدراً بالـ
، وC0 التركيز المولي العياري وهو يساوي 
وتصبح عبارة الكمون الكيميائي في حالة النوع الإيوني i في محلول يسلك سلوك محلول مثالي كما في المعادلة (8):
![]()
حيث
هو الكمون الكيميائي المعياري للنوع i، ويُعرّف على أنه الكمون الكيميائي للنوع كما لو أنه ممدَّد إلى ما لانهاية (أي تُهمل التأثيرات المتبادلة بينه وبين الأنواع الأخرى الموجودة في المحلول) وتركيزه
. وهذه الحالة المعيارية المرجعية افتراضية.
ويلاحظ في هذه الحالة أنّ الكمون الكيميائي للنوع الإيوني iيكون متناسباً مع اللوغاريتم الطبيعي للتركيز.
حالة مكوِّن غازي ضمن مزيج غازي:
عندما يكون النوع المدروس غازاً ضمن مزيج غازي تسمى الفعالية في هذه الحالة الانفلاتية fugacity، ويكتب
حيث
هو معامل الفعالية، وهو أيضاً مقدار بلا واحدة ويُعبر عن مدى ابتعاد سلوك الغاز المدروس عن الغازات الكاملة، وهو يساوي الواحد في حالة الغازات الكاملة، و
والضغط الجزئي للنوع المدروس مقدراً بالبار و
.
وتصبح عبارة الكمون الكيميائي في حالة النوع الغازي i في مزيج غازي يسلك سلوك الغازات الكاملة كما في المعادلة (9):
![]()
حيث
هو الكمون الكيميائي المعياري للنوع i، ويُعرّف على أنه الكمون الكيميائي للنوع كما لو أنه نقي تحت الضغط
عند الدرجة T.
ويلاحظ في هذه الحالة أنّ الكمون الكيميائي للنوع الغازي iيكون متناسباً مع اللوغاريتم الطبيعي للضغط الجزئي.
حالة مكوِّن صلب أو سائل نقي:
عندما يكون النوع المدروس صلباً فقط أو سائلاً نقياً تصبح الفعالية الكيميائية مساوية للواحد اصطلاحاً، ويكتب
.
وتصبح عبارة الكمون الكيميائي في حالة مكوِّن صلب أو سائل نقي كما في المعادلة (10):
![]()
حيث
هو الكمون الكيميائي المعياري للنوع الصلب أو السائل النقي، ويُعرّف على أنه الكمون الكيميائي للنوع النقي مأخوذاً تحت الضغط
عند الدرجةT .
دراسة ترموديناميكية للتوازن الكيميائي
يُعبَّر عن حالة التوازن الكيميائي في تفاعل المركباتA وB و CوD بالمعادلة (11):
![]()
وعند درجة حرارة وضغط ثابتين، يعطى تغير الطاقة الحرة لجيبس بالمعادلة (12):

إنّ
حيث
هي المثل الستوكيومتريstochiometry للنوع i و
هو إحداثي (متغير) التفاعل (13):

ويعرّف المقدار
مدى الابتعاد عن المعيارية
أي كما في المعادلة (14):

بالتعويض في التوازن الكيميائي المدروس أعلاه تنتج المعادلة (15):
![]()
بتعويض الكمون الكيميائي بعباراته المعرّفة سابقاً تكون العلاقة (16):

تصبح هذه العلاقة بعد إعادة ترتيبها (العلاقة 17):

حيث يمثّل
تغير طاقة جيبس المعيارية للتفاعل والتي يمكن حسابها بالاستعانة بالجداول الترموديناميكية.
ويعرّف أيضاً حاصل قسمة التفاعل reaction quotient على
بأنه المقدار في المعادلة (18):

حيث يمثل القوس [ ] تركيز المركب. وتنتج المعادلة (19):
![]()
وبالعودة إلى الجملة الترموديناميكية المدروسة ووفقاً للمبدأ الثاني في الترموديناميك لا يستطيع التابع dGإلا أن ينخفض عند أي تحول تلقائي للجملة الترموديناميكة المدروسة. وهذا يعني بعبارة أخرى أنّ مشتق G بالنسبة إلى
سالب عند حصول التفاعل التلقائي، وعند التوازن يصبح هذا المشتق معدوماً. أي كما في المعادلة (20):

ومنه المعادلة (21):
![]()
حيث
حاصل قسمة التفاعل في حالة التوازن
أي كما في المعادلة (22):
![]()
يسمح حساب تغير قيمة طاقة جيبس المعيارية بحساب ثابت التوازن الكيميائي المدروس.
يسمح مبدأ لوشاتليه Le Chatelier بالتنبؤ بأثر تغير أحد الظروف المحيطة على التوازن الكيميائي. وينصّ هذا المبدأ على أنه عندما تخضع الجملة التي تكون في حالة توازن لتغيّر في التركيز أو درجة الحرارة أو الحجم أو الضغط؛ فإنها تنزاح عن وضع توازنها وتعيد ترتيبها الذاتي بحيث تعاكس الأثر المطبق عليها ويتحقق توازن جديد آخر. على سبيل المثال:
إضافة متفاعلات أو نواتج
عند وضع التوازن يكون
ويكون ![]()
عند تغير فعاليات المكوِّنات فإنّ قيمة حاصل التفاعل تتغير وتصبح مغايرة لقيمة ثابت التوازن:
. فالعلاقة (23):

تصبح بالاستفادة من الحالة المعيارية المعادلة (24):

- إذا ازدادت إحدى المواد المتفاعلة مثلاً A فإنّ
يتناقص ويصبح
أي إنّ:
وسينزاح التفاعل باتجاه التفاعل المباشر (إلى اليمين) وسيتشكل المزيد من المواد الناتجة.
- إذا ازدادت إحدى المواد الناتجة مثلاً Cفإنّ
يزداد ويصبح
أي إنّ:
وسينزاح التفاعل باتجاه التفاعل المعاكس (إلى اليسار) وسيتشكل المزيد من المواد المتفاعلة.
إذا كان التفاعل وفق الاتجاه المباشر ماصاً للحرارة مثلاً، فإنّ زيادة درجة الحرارة سوف تحبّذ التفاعل المباشر، في حين الانخفاض في درجة الحرارة سيزيح التوازن نحو اليسار.
أنواع التوازنات في المحاليل المائية
تُعرف التوازنات في المحاليل المائية equilibria in aqueous solutions باسم التوازنات الإيونية أيضاً؛ وذلك لأنها تنطوي على وجود إيونات ضمن التوازنات الحاصلة. وتقسم توازنات المحاليل المائية إلى:
- توازنات حمضية - أساسية : هي توازنات تبادل بروتوني بين حمض وأساس.
- توازنات تعقيد: هي توازنات تبادل ربيطة (مرتبِط) ligand بين معقد وإيون معدني؛ أو تبادل إيون معدني بين معقد وربيطة.
- توازنات ترسيب: هي توازنات بين ملح صلب قليل الانحلال في الماء مع إيوناته المنحلة في الماء.
- توازنات أكسدة - إرجاع: هي توازنات تبادل إلكتروني بين مؤكسِد ومرجِع.
والتوازنات السابقة جميعها هي من النوع المتجانس باستثناء تفاعلات الترسيب. وفيما يلي عرض جامع لهذه التفاعلات. في الحقيقة ما يجمع تلك التفاعلات هو انتقال جسيمات بين زوج من المركبات. كلُّ زوج مؤلّف من:
- مانح جسيمات: الحمض AHn، أو المعقّد MLn، أو الراسب MXn، أو المرجِع Red.
- متقبّل جسيمات: الأساس-An، الذرة أو الإيون المركزي M، الإيون الموجب +Cp (أو الإيون السالب -Aq، أو المؤكسِد Ox.
أمّا الجسيمات المتبادَلة فهي على الترتيب: البروتونات، الربيطات أو الذرات أو الإيونات المركزية، الإيونات السالبة أو الموجبة، الإلكترونات.
أمّا الجسيمات المتبادَلة فهي على الترتيب: البروتونات، )الربيطات أو الذرات أو الإيونات المركزية M)، الإيونات السالبة )أو الموجبة)، الإلكترونات. وأمّا الكتابة الشكلية لهذه الأزواج فمتشابهة:
التفاعلات الحمضية الأساسية:
تفاعلات التعقيد: ![]()
تفاعلات الترسيب: ![]()
تفاعلات الأكسدة والإرجاع: ![]()
وبصورة عامة يكتب: ![]()
|
مراجع للاستزادة: - P. Atkins, J. de Paula, Atkins Physical Chemistry. Oxford University Press, 2022. - K. Biberdorf , It's Elemental: The Hidden Chemistry in Everything, Park Row, 2021. - J. Johnson, Chemistry 101: A History of Reactions (How We Figured It Out), Learn more, 2025. - K. Sun, R. F. Ribeiro, Theoretical formulation of chemical equilibrium under vibrational strong coupling, Nature Communications, National Library of Medicine, 2024.
|
- التصنيف : الكيمياء والفيزياء - النوع : الكيمياء والفيزياء - المجلد : المجلد العاشر، طبعة 2025، دمشق مشاركة :