التوزيع الحداني
توزيع حداني
Binomial distribution -
محيي الدين وايناخ
| تجربة برنولي | التوزيع الهندسي |
| توصيف التوزيع ثنائي الحد | التوزيع متعدد الحدود |
| خواص التوزيع الحداني | مجالات التطبيق |
| التوزيع الحداني السالب |
التوزيع الحدَّانيّ (ثنائيّ الحدّ) Binomial Distribution (BD) هو توزيع احتمال متقطع discrete يعطي نتيجتين ممكنتين فقط، إما النجاح success أو الفشل failure.
ويُستخدَم التوزيع الحدَّانيّ للحصول على احتمال رصد x نجاح في n تجربة؛ مع افتراض أن احتمال النجاح في التجربة الواحدة ثابت. ويرمز إلى التوزيع الحداني عادة بالرمزP، ويُعدّ هذا التوزيع أحد التوزيعات المهمّة في نظرية الاحتمالات.
تُعدّ تجربة برنوليBernoulli experiment تجربة عشوائية random ذات نتيجتين outcomes مُتنافية مثنًى mutually exclusive؛ أي يمكن أن تكون النتيجة نجاحاً أو إخفاقاً (حياة أو موت، منتج سليم أو منتج عاطل). ومن الخواص المهمّة لتجربة برنولي:
- كونها تتألف من n تجربة متكررة.
- إمكان تصنيف نتيجة التجربة نجاحاً أوإخفاقاً.
- ثبات احتمال النجاح في أثناء التجارب ويرمز إليه بالرمز P.
- استقلالية التجارب المتكررة فيما بينها.
ليكن Xالمتغير (المتحول) العشوائي Random Variable (RV) المرافق لاختبار برنولي؛ والذي يُعرَّف بالشرطين المبينيّن بالعلاقة (1):
وفيها تدل failعلى الإخفاق وsuc على النجاح؛ أي يُرمز إلى النجاح بـالرمز "1" وإلى الإخفاق بالرمز "0".
تُعطى دالة كتلة الاحتمال Probability Mass Function (PMF)لهذا المتغير العشوائي بالصيغة المبينّة بالعلاقة (2):
ويقال في هذه الحالة عن Xإنه ذو توزيع برنولي Bernoulli distribution، وتعطى القيمة المتوقعة expectedله (القيمة المتوسطة) بالعلاقة (3)، فتكون القيمة المتوقعة مساوية للقيمة P:
![]() |
أما التباين variance فيعطى بالعلاقة (4)، وتكون قيمته مساوية للقيمة p(1-P):
![]() |
وبذلك يعطى الانحراف المعياري Standard Deviation (SD) بالعلاقة (5):
بفرض متتالية sequence من n اختبار برنولي، وبفرض Xi المتغير العشوائي البرنولي (ذي توزيع برنولي) الموافق للاختبار رقم (i)؛ ينتج من إجراء اختبار برنولي n مرة متكررة متتالية من الواحدات والأصفار (يمكن استثمار ذلك في توليد سلسلة من الواحدات والأصفار). يتركز الاهتمام عادة على عدد حالات النجاح وعدد حالات الإخفاق؛ بصرف النظر عن ترتيب مواقع النجاح والإخفاق.
إذا كانت X عدد مشاهدات النجاح في n اختبار؛ فإنها يمكن أن تأخذ إحدى القيم الآتية: n,………..,2,1,0. وإذا كان عدد النجاحات x فإن عدد مشاهدات الإخفاق هو n-x، ومن ثمَّ فإن عدد طرائق اختيار xموقع نجاح من أصل n اختيار يعطى بالعلاقة (6):
![]() |
وحيث إن الاختبارات مستقلة، واحتمال النجاح هو Pواحتمال الإخفاق هو 1-P؛ فإن احتمال اختيار أي من الطرائق السابقة يعطى بالعلاقة (7):
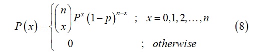
ومن ثمَّ فإن دالة كتلة الاحتمال للمتغير العشوائي X هو مجموع الاحتمالات الممكنة للحوادث المتنافية مثنًى والتي يبلغ عددها
، وهكذا تعطى دالة كتلة الاحتمال بالعلاقة (8):
![]() |
ويُرمز إلى دالة كتلة الاحتمال بالرمز b(x;n,p)؛ والذي يجب أن يحقق العلاقة (9):.
يُطلق على المغير العشوائي xذي دالة كتلة الاحتمال p(x) اسم التوزيع الحدّاني، ويُرمز إليه بالرمزb(x;n,p) ، حيث n وP وسطاء (موسطات) parameters التوزيع.
تُعطى الدالّة المولّدة للعزوم Moment Generating Function (MGF) بالعلاقة (10):
وفي حالة التوزيع الحداني يأخذ هذا التابع الصيغة المبيّنة بالعلاقة (11):
وذلك من أجل قيم t الحقيقية.
باشتقاق الدالّة المولّدة للعزوم وتعويض t=0 يجري الحصول على التوقع expectationالذي يرمز إليه بالرمز µ لهذا التوزيع؛ والذي يُعطى بالعلاقة (12):
وبحساب المشتق من الدرجة الثانية للدالّة المولّدة للعزوم وتعويض t=0 يجري الحصول على التباين
؛ والذي يُعطى بالعلاقة (13):
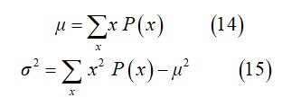
كما يمكن الحصول على التوقع µ والتباين
من دالة كتلة الاحتمال اعتماداً على العلاقتين (14) و(15):
![]() |
ويمكن الحصول على الدّالَّة المميِّزةcharacteristic function من العلاقة (16):
حيث
الوحدة التَّخيُّليَّة imaginary unit و t عدد حقيقي اختياري. من السمات المهمّة للدالة المميزة وجود التوقع لكل التوزيعات؛ بخلاف الدالة المولدة للعزوم.
التوزيع الحداني السالب Negative Binomial Distribution (NBD) (أو توزيع باسكالPascal distribution) هو توزيع مجموع متغيرات عشوائية هندسية مستقلة independent geometric RVs. بفرض إجراء تجربة ذات خواص التوزيع الحداني نفسها؛ مع الفارق بأن الاختبارات تكرر حتى الوصول إلى عدد ثابت من النجاحات، وليكن Y المتغير العشوائي الذي يرمز إلى عدد مرات الإخفاق قبل الوصول إلى النجاح رقم r، فإن Y+r هو عدد الاختبارات اللازمة للحصول على r نجاح، حيث r عدد صحيح موجب.
لإيجاد دالة كتلة الاحتمال للمتغير العشوائي Y؛ ليكن y عنصراً في المجموعة
، وبفرض S رمز النجاح و F رمز الإخفاق؛تكون نتيجة إحدى التجارب تلك المبيّنة بالعلاقة (17):
ويعطى احتمال التجربة السابقة بالعلاقة (18):
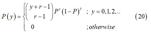
أما عدد التجارب المتنافية مثنًى وذات الاحتمال السابق فتعطى بالعلاقة (19):
![]() |
فتكون دالة كتلة الاحتمال معطاة بالعلاقة (20):
![]() |
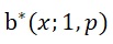
يُطلق على هذا التوزيع اسم التوزيع الحداني السالب negative binomial distribution، ويرمز إليه بالرمز b*(x,n,P). ويعود سبب هذه التسمية إلى أن كل حّد في النشر
يوافق قيم التوزيعمن أجل y + r = r,r + 1,r + 2,...
ويعطى التوقع لهذا التوزيع بالعلاقة (21)، أما التباين فيعطى بالعلاقة (22):
![]() |
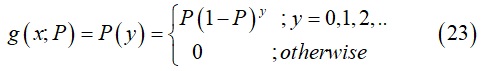
في إحصاء التوزيع الهندسي Geometric Distribution (GD) هو التوزيع الذي يصف فرص تحقيق النجاح في متتالية من المحاولات trials المستقلة، ولكل منها نتيجتين outcomes ممكنتين فقط.
وعندما تكون r=1 في التوزيع الحداني السالب؛ فإن ذلك يمثل توزيع الاحتمال Probability Distribution (PD) لعدد الاختبارات اللازمة للحصول على نجاح واحد؛ كعدد المرات اللازمة لرمي قطعة النقود حتى الحصول على وجه النسر على سبيل المثال. يسمى هذا التوزيع
بالتوزيع الهندسي geometric distribution؛ لأن حدود المتتالية تشكل متتالية هندسية geometric series، ويرمز إلى هذا التوزيع بالرمز g(x,P)، ويعطى بالعلاقة (23):
![]() |
ويعطى التوقع لهذا التوزيع بالعلاقة (24) والتباين بالعلاقة (25):
![]() |
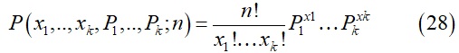
التوزيع متعدِّد الحدود Multinomial Distribution (MD) هو توزيع مشترك لمجموعة من المتغيرات العشوائية هي عدد مرات حصول النواتج الممكنة في متتالية محاولات متعددة الحدود multinomial trials.
بفرض التجربة ذات الخواص الآتية:
· كل اختبار يصنف في أحد الأصناف: ![]()
· احتمال وقوع نتيجة الاختبار ضمن الأصناف هو:
.
· جميع الاختبارات مستقلة بعضها عن بعض.
· عدد الاختبارات يساوي n.
بفرض
تحدث
مرة - أي إن
- يمكن وضع أحد تراتيب النتائج بالشكل المبيّن بالعلاقة (26):
![]() |
وباستخدام نظرية ضرب الاحتمالات للاختبارات المستقلة يجري الحصول على العلاقة (27):
وبما أن عدد التراتيب الكلية هو
؛ فإن تابع كتلة الاحتمال هو مجموع الاحتمالات الممكنة للحوادث المتنافية مثنًى؛ والذي يعطى بالعلاقة (28):
حيث
و
. وقد اشتق اسم التوزيع متعدد الحدود multinomial distribution من النشر
الذي يوافق كل القيم الممكنة للمقدار
، وتعطى الدالة المولّدة للعزوم للتوزيع متعدد الحدود بالعلاقة (29):
حيث
قيم حقيقية.
تهتم الصناعات الهندسية بنسبة العطب في الإنتاج، مما يستدعي استخدام التوزيع الحداني؛ والذي يستخدم أيضاً على نحو واسع في قياس الجودة وأخذ عينات المنتج. كما يستخدم التوزيع الحداني في المجالين الطبي والعسكري. وعموماً يستخدم التوزيع الحداني في كل المجالات، التي تكون فيها نتيجة العملية ثنائية (إخفاق – نجاح، ربح – خسارة ونحو ذلك) والاختبارات مستقلة والاحتمالات ثابتة أثناء الاختبارات. ويستخدم التوزيع الهندسي على نحو واسع في الشبكات الهاتفية والمقاسم الهاتفية لتحديد عدد المحاولات اللازمة لتحقيق اتصال ناجح، وذلك في كل الحالات الممكنة على سبيل المثال. أما تطبيقات التوزيع الحداني السالب فله تطبيقات مشابهة لتطبيقات التوزيع الهندسي.
|
مراجع للاستزادة: - M. M. Ali, I. Ali, H. M. Yousof, M. I. M. Ahmed, G Families of Probability Distributions Theory and Practices, CRC Press, 2023. - K. T. Fang, H. Ye, Y. Zhou, Representative Points of Statistical Distributions, Chapman & Hall, 2025. - H. K. Gangeshwer, Probability Theory and Binomial Distribution, Shashwat Publication, 2022. - J. M. Horgan, Probability with R, Wiley, 2020.
|
- التصنيف : تقانات الفضاء والفلك - النوع : تقانات الفضاء والفلك - المجلد : المجلد العاشر، طبعة 2025، دمشق مشاركة :










