الاتصالات النقالة
اتصالات نقاله
Mobile communication - Communications mobiles
رند القوتلي
| إعادة استخدام التردد | التقنيات المستخدمة |
| التقسيم المتعدد الخاص | التعديل الرقمي |
| البنية العامة | الطيف المنثور |
| معايير أنظمة الاتصالات النقالة | تقنيات النفاذ المتعدد |
بدأ أول ظهور عملي للهواتف الأرضية في العام 1921م في مدينة ديترويت الأمريكية عندما ركبت شرطة المدينة أول نظام هاتفي أرضي. وظهر أول نظام اتصالات نقالة فعلية في بداية الثمانينيات في بريطانيا والدول الاسكندناڤية، وتبعتها دول فرنسا وألمانيا حيث طوّرت كل دولة نظامها المستقل بتقنيته وأجهزته. ولتوحيد النظام نشأت في أوربا في عام 1982م مجموعة خاصة سُميت Groupe Spécial Mobile، مهمتها دراسة نظام اتصالات نقال موحّد في أوربا وتطويره ووضع معاييره الذي انتشر بعد ذلك في كثير من مناطق العالم ودوله. وفي المدة نفسها ظهرت في الولايات المتحدة واليابان أنظمة أخرى مشابهة، ولكن بتقنيات مختلفة.
![]() |
| الشكل (1) : المبدأ العام لشبكة الاتصالات النقالة |
تعتمد نظم الاتصالات النقالة mobile communications على مبدأ الاتصالات اللاسلكية الذي يعني اتصالاً بين مرسل ومستقبل لاسلكياً، ففي الاتصالات النقالة يكون على الأقل أحد أطراف النظام اللاسلكي متحركاً، ويمكن أيضاً أن يكون متحركاً بسرعة عالية على مركبة. تتألف نظم الاتصالات النقّالة أساساً من جهاز مرسل ومستقبِل نقّال mobile والمحطات القاعدية base stations التي توزع على كامل مناطق التغطية وقنوات اتصال لاسلكية. ويمكن أن يحتوي النظام على ساتل يُستخدم في المناطق البعيدة وغير المغطاة بالمحطات القاعدية. يبين الشكل (1) المبدأ العام لشبكة الاتصالات النقّالة حيث يقوم الجهاز النقّال بالاتصال بالمحطة القاعدية القريبة منه التي بدورها توفر الاتصال بالمستقبل، إما عبر محطة قاعدية أخرى أو شبكة الهواتف الأرضية
ء (PSTN)ء ر و إما عبر public switched telephone networkساتل satellite .
واجه المصمّم منذ البداية العديد من التحديات، منها توفير قناة اتصال لأكبر عدد من المشتركين بآن واحد في منطقة جغرافية ضيقة، مع استخدام عرض مجال ترددي محدود. والتحدي الثاني هو الانتقال من مكان إلى آخر من دون انقطاع الخدمة، وإن كانت الحركة سريعة. أما التحدي الثالث - وهو الأهم - فهو توفير جودة الخدمة مع المحافظة على كلفتها المنخفضة. ولتحقيق ذلك اعتمد المصمّمون على مجموعة من تقنيات المعالجة الرقمية، أهمها:
عند استخدام التعديل الرقمي digital modulation ، فإن المعطيات المرسلة تكون رقمية “0” أو “1”، ويمكن أن تكون أصلاً إشارة معطيات أو إشارة صوت. تعتمد هذه الأنظمة على تغيير مطال إشارة الحامل فيحصل على التعديل المطالي amplitude shift keying (ASK ) ، أو تغيير تردد إشارة الحامل فيحصل على التعديل الترددي
ء (FSK)ءfrequency shift keying أو طور تردد الحامل فيحصل على تعديل الطور phase shift keying.
يُستخدم في العديد من معايير الاتصالات النقالة تعديل بإزاحة الطورالمتعامد ء(QPSK) ءquadrature phase shift keying و ذلك لمناعته من الضجيج ولتوفيره عرض المجال، وذلك بإرسال إشارتي حامل متعامدتين، بحيث ينقل كل حامل بتاً واحداً من المعطيات.
تُستخدم تقنية الطيف المنثور spread spectrum لتخفيض التداخل بين إشارات القنوات المتجاورة co-channel interference ، وتعتمد هذه التقنية على أن التداخل ينخفض انخفاضاً كبيراً إذا نُثرت الإشارة طيفياً على مجال ترددي واسع باستخدام راموز Code معروف لكل من المرسل والمستقبل، حيث يفيد هذا الراموز في استخلاص الإشارة المرسلة من الإشارات المتداخلة. وتُستخدم عدة تقنيات، أهمها: القفز الترددي frequency hopping، والسلاسل المباشرة للطيف المنثور
ء(DSSS)ءDirect Sequence Spread Spectrum تعتمد التقنية الأولى على إرسال الرموز symbols باستخدام ترددات حاملة متغيرة تغيراً دائماً وسريعاً، في حين تعتمد التقنية DSSS على ضرب إشارة المعلومات بسلسلة من إشارة ضجيجية زائفة ء(PN)ءpseudo noise و من ثم استعادة الإشارة لاحقاً باستخدام التسلسل PN.
![]() |
| الشكل (2) : تقنيات النفاذ المعتمد |
يتحقق النفاذ المتعدد multiple access بتقسيم قناة الاتصال أو مشاركتها بين أكثر من مشترك إما في الزمن(الاقتسام باستخدام الزمن time division multiple access)، وإما في التردد (الاقتسام باستخدام التردد frequency division multiple access) وإما في الراموز (الاقتسام باستخدام الترميز code division multiple access ) يوضح الشكل (ل (2) الفرق بين التقنيات الثلاث.
يعتمد الاقتسام باستخدام التردد FDMA على تقسيم عرض المجال bandwidth المستخدم B على M مستخدماً، بحيث يُخصص لكل مستخدم عرض مجال ترددي يساوي WFDAM =B/M، ومن ثم فإن سعة كل قناة لكل مستخدم هي: (1)
![]() |
(1) |
وفي حالة نسبة إشارة إلى ضجيج ثابتة S/N ، فإن السعة الكلية لا تتغير، في حين تتوزع على M مستخدماً.
في نظام الاقتسام باستخدام الزمن TDMA يجري تقسيم دفقة البتات bits stream إلى مجموعة أطر frames، حيث يُقسم الزمن المخصّص للإرسال بين المستخدمين، ويقوم كل مستخدم بإرسال العدد المخصص له من الأطر خلال النافذة الزمنية المخصصة له. وتحسب سعة القناة المخصصة لكل مستخدم بالعلاقة
:
![]() |
(2) |
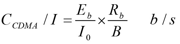
يعتمد نظام الاقتسام باستخدام الترميز المتعدد CDMA على تقنيات الطيف المنثور، ويُخصص لكل مستخدم رماز خاص غير مترابط مع أرمزة بقية المستخدمين، وبحيث يجري إرسال عدد من المستخدمين في آن واحد عند عرض مجال ترددي. وتعطى نسبة سعة القناة لكل مستخدم بالنسبة إلى التداخل Interference بالعلاقة
:
![]() |
(3) |
حيث Eb طاقة البت و I0 التداخل الكلي و Rb معدل إرسال البتات للقناة. هذا وتَستخدم النظم المختلفة من الاتصالات النقالة الجمع بين تقنيات النفاذ المتعدد، فمثلاً يَستخدم نظام GSM تقنية TDMA وتقنية FDMA في آن واحد (الجدول 1) لزيادة كفاءة القناة.
![]() |
| الشكل (3) : المبدأ العام لإعادة استخدام التردد |
تُعدّ تقنية إعادة استخدام التردد frequency reuse من سمات الاتصالات النقالة، وتعتمد على إعادة استخدام الترددات الحاملة نفسها في مناطق التغطية أو الخلايا البعيدة بعضها عن بعض جغرافياً كما هو مبين في الشكل (3). ويلاحظ استخدام الترددات الحاملة نفسها في الخلايا المتباعدة لتوفير عدم التداخل بين القنوات، إذ تُقسم الخلايا إلى عناقيد clusters مؤلفة من K خلية. وتُكرر هذه العناقيد لكامل منطقة التغطية. تسهم هذه الطريقة بزيادة عدد المشتركين في المنطقة من دون زيادة عرض المجال المخصص للشركة. وتعطى المسافة بين كل خلية وأخرى مشابهة لها في الترددات بالعلاقة
:
![]() |
(4) |
حيث R نصف قطر الخلية.
لتحقيق كفاءة أعلى للمجال الترددي المتاح يجري استخدام هوائيات موجهة بزاوية معينة، بحيث تستطيع هذه الهوائيات التخاطب مع محطة نقالة Mobile Station (MS) ضمن الخلية من دون أن تتداخل مع أي محطة أخرى تقع ضمن الخلية نفسها وتستخدم تردد القناة نفسه ولكنها تُغطى بهوائي آخر. تسمح هذه التقنية بإعادة استخدام التردد حتى ضمن الخلية نفسها. تسمى هذه التقنية بالاقتسام المتعدد الخاص special division multiple access (SDMA). وتعطى نسبة سعة القناة لكل مستخدم بالنسبة إلى التداخل interference بالعلاقة
:
![]() |
(5) |
حيث NSDAM عدد الهوائيات الموجهة في الخلية.
التقسيم المتعدد للترددات المتعامدة
![]() |
| الشكل (4) : طيف مجموعة نبضات متعامدة في التردد |
تعتمد فكرة الاقتسام المتعدد للترددات المتعامدة ء(OFDM) ءorthogonal frequency division multiplexing على أن أي نبضتين تكونان متعامدتين إذا كانتا غير متداخلتين في المجال الترددي أو في المجال الزمني. وبمعنى آخر، إذا تم إرسال وتعديل مجموعة نبضات محدودة في الزمن ومتعامدة تماماً في التردد، يمكن استعادتها بسهولة وفصل بعضها عن بعض. يبيّن الشكل( 4) تحويل فورييه Fourier Transform
( أو الطيف) لمجموعة نبضات متعامدة في التردد حيث يلاحظ إمكانية استعادة النبضات باستخدام التردد الرئيسي للإشارة الحاملة مع السماح بخطأ محدود. يمكن تحقيق التقنية OFDM باستخدام تحويل فورييه السريع العكسي
ءو(IFFT)ءInverse Fast Fourier Transform و من ثم استعادة الإشارات الأصلية باستخدام تحويل فورييه السريع FFT.
يبين الشكل (5) المكونات الأساسية لأي نظام هاتف نقال، فعند تشغيل الجهاز النقال MS يحاول الاتصال بالشبكة عن طريق اختيار أحد الترددات الحاملة المتوفرة في منطقة التغطية، ويمكن أن يحدث ذلك في الشبكة الأم أو إذا كان الهاتف النقال في حالة تجوال roaming
( ويُقصد هنا بالتجوال استخدام شبكة غير الشبكة الأم). يقوم الهاتف النقال بالاتصال بالمحطة القاعدية (ة (ال(BS)ءBase Station التي تغطي المنطقة الموجود فيها الهاتف.
![]() |
| الشكل (5) : بنية طيف مجموعة نبضات متعامدة في التردد |
تقوم المحطة القاعدية عادة ببث إشارات ترددات الحامل، عندها يقوم الهاتف النقال بالتقاط هذه الإشارات في منطقة التغطية وتحديد الإشارة الأقوى عن طريق قياس استطاعة هذه الإشارات. ومن ثم يقوم بإرسال هذا القياس إلى متحكم المحطة القاعدية، الذي يقوم بدوره بإرسالها إلى متحكم المحطة القاعدية، وعندها يرى المتحكم ضرورة تغيير المحطة القاعدية إذا كانت الإشارة الأقوى تنتمي إلى محطة قاعدية أخرى لا تقع ضمن نطاق المتحكم نفسه، فيرفع الأمر إلى المقسم الخلوي
ء(MSC)ءmobile-services switching center للاتصال بمتحكم المحطة القاعدية الجديد وتسليم الهاتف النقال إليه. تسمى هذه العملية بالتسليم handover، وتحدث عند تحرك الهاتف النقال من منطقة إلى أخرى.
يقوم المقسم الخلوي MSC بعمل المقسم، فهو ينجز وظائف التوصيل الهاتفية في الشبكة الخلوية، ويتحكم بالمكالمات من / إلى الشبكات الأخرى؛ مثل شبكات الهاتف الأرضي PSTN وشبكات تبادل المعطيات ISDN، والشبكات الخلوية الأخرى. وتشمل مهمات المقسم الخلوي أيضاً تسجيل بيانات المكالمة لإنهاء الاتصال في الشبكة أو إنشائه، بهدف إصدار الفواتير. ويضاف إلى ذلك التحكم في عمليات التسليم.
لا يحتوي المقسم MSC على أي معلومات عن المشتركين الذين تخدمهم الشبكة، وإنما تحفظ هذه المعلومات في سلسلة قواعد بيانات؛ أولها سجل موضع
المواطن ء(HLR)ءhome location register فهو مستودع مركزي لجميع المعلومات المطلوبة للسماح للمستخدم باستخدام الشبكة، حيث تجري إدارة كل اشتراكات الهواتف التي تنتمي إلى المشغل والتي تحوي معلومات عن هوية المشترك، والمزايا والخدمات إضافة إلى موقع المشترك، ويمكن استخدام هذه المعلومات من قبل مركز التوثيق(AUC) (ق authentication center لتحديد أحقية المشترك في استخدام الشبكة.
وتحتوي سلسلة قواعد المعطيات على سجل موضع الزائرين (VLR )(ن visitor location register لكل متحكم محطة قاعدية، وهو يضم معلومات عن مشتركي الهاتف النقال الموجودين في منطقة خدمة المحطة القاعدية، ومن ثم فهو يفيد في تعرف موقع وجود الهاتف وفي أي مقسم خلوي وأي محطة قاعدية لكي تتمكن الشبكة من إيصال المكالمة إليه، فعند تشغيل محطة نقالة MS جديدة، أو الانتقال إلى منطقة جديدة يجري تسجيل الهاتف في سجل VLR التابع لمتحكم المحطة القاعدية الجديد لتخديمه. بعد ذلك تُنقل المعلومات الخاصة بالهاتف إلى سجل موضع المواطن HLR من أجل عمليتي التوثيق، ثم تطلب VLR منلا HLR معلومات عن المشترك وذلك لكي يتوفر لديها كل المعلومات المطلوبة لإعداد المكالمة وإنشائها.
وتحتوي قواعد المعطيات أيضاً على سجل هوية التجهيزات (EIR)(ت equipment identity register ؛ وهو يضم معلومات عن هوية وتعريف الهاتف المشترك نفسه، تسمح بمنع المكالمات من الهواتف المسروقة أو غير الشرعية والمعطوبة.
معايير أنظمة الاتصالات النقالة:
بدأ تصميم أول نظام هواتف نقالة في عام 1970م، وهو يُعرف اليوم بالجيل الأول First Generation من الهواتف النقالة، ثم تطورت الأنظمة باستخدام تقنيات وأشكال متعددة تبعاً للدولة أو الدول أو الشركات المطورة، حتى وصل التطور إلى الجيل الرابع الذي سوف يبدأ استخدامه خلال الأعوام القريبة القادمة.
الجيل الأول:
ظهر مفهوم الهاتف النقال في الولايات المتحدة في مخابر AT&T و Bell Labs في أوائل عام 1970، وفي عام 1980 ظهر أول تطبيق تجاري في الولايات المتحدة من شركة Motorola الأمريكية، وظهر أول تطبيق تجاري في عام 1981 في الدول الاسكندنافية (NMT)(ة Nordic Mobile Telephone ، وفي عام 1983 ظهر في الولايات المتحدة أول تطبيق تجاري على نطاق واسع للهاتف النقال الذي انتشر في العديد من دول العالم وعرف لاحقاً بالجيل الأول.
اعتمدت تقنيات هذا الجيل على إرسال الإشارات الصوتية تماثلياً analog، باستخدام تقنيات FDMA وتخصيص مجال ترددي لكل هاتف، إذ خُصص عرض مجال يساوي 30kHz لكل حامل ثم خُفّض إلى 10kHz في النظام المحسّن، بحيث جرت مضاعفة أعداد المشتركين ثلاث مرات. تميز هذا الجيل بحل العديد من المشكلات التقنية، التي وضعت الأسس النظرية والعملية للأنظمة الحديثة المستخدمة في الوقت الحالي، ولكن تكمن مشكلته الكبيرة في العدد المحدود من المشتركين وضخامة التجهيزات الهاتفية النقالة، وعدم توفر المعيارية والتوافقية بين التقنيات المستخدمة.
الجيل الثاني:
في بداية الثمانينيات من القرن الماضي بدأ ظهور الجيل الثاني نظراً للحاجة الماسة إلى زيادة عدد مشتركي الهاتف النقال، إذ ركز على التطبيقات الصوتية الرقمية فقط بالاعتماد على تقنيات معالجة الإشارة الرقمية digital signal processing. ونظراً إلى المنافسة الكبيرة بين الدول ظهرت عدة معايير من الجيل الثاني، ففي أوربا ظهر معيار المنظومة العالمية للاتصالات النقالة(Global System for Mobil Connection (GSM و في الولايات المتحدة ظهر معياران مختلفان IS-54 وIS-95 الذي عُرف لاحقاً بمعيار CDMA-one . وفي اليابان ظهر المعيار الخليوي الرقمي الشخصي (PDC.)(ي personal digital cellular
يعتمد نظام GSM على تقنيتي FDMA وTDMA، إذ يُخصص لكل قناة عرض مجال ترددي يساوي 200kHz، وتحتوي كل قناة على ثماني نوافذ زمنية لثمانية مشتركين بالحامل نفسه، وتغطي الخلية الواحدة أكثر من تردد حامل يمكن أن يتكرر باستخدام تقنية إعادة استخدام التردد الذي يسمى بالتخطيط الترددي frequency planning. وتستخدم نظم GSM في معظم الدول المجال الترددي 9009 إلى ر925MHZ ظهر نظام آخر في الولايات المتحدة يعتمد أيضاً على ر
تقنية TDMA، ويتميز بميزة الاتصال السريع push to talk.
يعتمد المعيار CDMA-one على تقنيات الطيف المنثور حيث يقسم المجال الترددي إلى مجموعة مجالات بعرض 1.23MHz. يُخصص لكل قناة صوتية رماز خاص، ويصل معدل إرسال البتات إلى 1.23Mb/s. تَستخدم هذه التقنية الترددات نفسها في جميع مناطق التغطية، مما يمنح كثافة عالية للمشتركين المستخدمين للشبكة في منطقة التغطية (الخلية) مقارنةً بالنظام الذي يعتمد على تقنية TDMA .
الجيل الثاني المحسّن:
لتحقيق سرعة نقل بيانات أعلى جرى تطوير نظام الاتصال النقال. فظهر المعيار المحسن عن المعيار GSM، الذي سمي نظام الرزم الراديوية العام
(GPRS)(م General Packet Radio System ، وسمي هذا الجيل بالجيل 2,5G. جرى تخصيص عنوان إنترنت IP address لكل هاتف نقال بطريقة سكونية (أي ثابتة)، أو ديناميكية (أي عنوان متغير يخصص له عند طلب الاتصال). يمكن للهاتف الاتصال عن طريق الإنترنت بسرعة تصل إلى 115kb/s، وتجري فوترة المشترك تبعاً لكمية المعلومات المنقولة عوضاً عن الزمن المستغرق للاتصال.
في المحطة القاعدية، تُفصل الإشارات الصوتية وتُرسل عبر الطريق المخصص لإشارات الصوت عبر شبكة الجيل الثاني، أما المعطيات فيجري إرسالها عبر عقدتين جديدتين تسمى الأولى SGSN، وتكون مسؤولة عن ملاحقة الهاتف النقال ومكان توضعه لغرض التوجيه، وتَستخدم الثانية GGSN عبّارة ً gateway للاتصال عبر شبكة الإنترنت وتوفير عنوان IP الخاص لكل جهاز كما هو موضح في الشكل (5)
الجيل الثالث:
في أواخر التسعينيات من القرن الماضي بدأ الجيل الثالث بالظهور بهدف تحقيق التوافقية بين معايير الجيل الثاني ودمجها في معيار عالمي جديد بحيث يسمح بسهولة التجوال بين الدول والمناطق من دون الحاجة إلى تغيير جهاز الهاتف. وضع الاتحاد الدولي للاتصالات(ITU) (ت International Telecommunication Union مبدأ المعيار الموحد IMT-2000، غير أن هذا المعيار لم يستطع توحيد المعيارين الأوربي GSM والأمريكي CDMA-one .
لذلك ظهر الجيل الثالث بعدد من المعايير؛ أحدها المعيار CDMA العريض المجال W-CDMA الذي يعتمد في بنيته الأساسية على تقنيات GSM بحيث يوفر خدمة الجيل الثالث لشبكات GSM، ولكن يوفر نقل إشارة صوتية بجودة عالية إضافة إلى نقل إشارة معلومات بسرعة تصل إلى 2Mb/s. وصل عدد مشتركي هذا المعيار في عام 2006 إلى 55 مليون مشترك في 105 مشغلات في العالم. وطوِّر المعيار CDMA-one إلى معيار الجيل الثالث CDMA-2000 الذي انتشر في أمريكا الشمالية وآسيا؛ إذ وصل عدد المشتركين إلى 225 مليون مشترك في أكثر من 147 مشغلاً في العالم.
الجيل الرابع:
بدأت الأبحاث في تطوير الجيل الرابع 4G - الذي يطلق عليه أيضاً منظومة الاتصالات النقالة العام ء(UMTS)ء Universal Mobile Telecommunications System بداية عام 2000 بهدف تحقيق معيار عالمي لجميع مشتركي الهاتف النقال يوفر نقل جميع أنواع المعلومات من صوت وصورة إضافة إلى سرعة نقل معطيات تصل إلى 200Mb/s، وكذلك لديه القدرة على توفير خدمات الشبكات اللاسلكية ضمن منطقة التغطية. ويتوقع أن يصل عدد مستخدمي هذا النظام إلى أكثر من مليار مشترك في جميع أنحاء العالم. ويجري توفير المجال الترددي المطلوب لتحقيق هذه الخدمات باستخدام تقنيات الترددات المتعامدة OFDM وتقنيات الهوائيات الذكية. يبين الجدول (1) مقارنة بين الأجيال الحالية للنظم النقالة.
| الجدول (1) : مقارنة بين أجيال النظم النقالة | ||||||||||||||||||||||||||||||||||||||||||
|
الخلاصة
لقد تطورت الاتصالات النقالة تطوراً كبيراً منذ ظهورها في بداية عام 1980 من مجرد توفير اتصال هاتفي لاسلكي متحرك إلى إرسال رسائل قصيرة
،ء(SMS)ء Short Messaging System النفاذ إلى الإنترنت والتعامل مع الوسائط المتعددة multimedia وصولاً إلى مشاهدة بث تلفازي حي على الهاتف النقال.
وقد أدى التنافس بين الشركات العالمية دوراً كبيراً في دفع التطور العلمي والتقني إلى أعلى الحدود، وذلك لاستثمار المجال الترددي بطريقة أفضل تلبي حاجة أكبر عدد ممكن من المشتركين مع تحقيق جودة أعلى للخدمة وبأسعار منخفضة نسبياً. وقد انتشرت الاتصالات النقالة في بعض الدول المتقدمة إلى حد يجعل جميع السكان يملكون اشتراكهم الخاص، حتى أطفال المدارس، في حين ما يزال عدد السكان الذين يتمتعون بهذه الميزة قليلاً في بعض الدول النامية. ويبقى التحدي أمام الشركات المصنعة ومشغلي الاتصالات النقالة هو توفير هذه الميزة لمختلف سكان العالم.
|
مراجع للاستزادة: - M. Ibnkahla, Signal Processing for Mobile Communications, Handbook, CRC Press, 2005. - A. Pashtan, Telecommunication Systems and Technologies - Wireless Terrestrial Communications: Cellular Telephony, Encyclopedia of Life Support Systems (EOLSS), Eolss Publishers, Oxford,UK, 2010 - D. Torrieri, Principles of Spread-Spectrum Communication Systems, Springer, 2005. - H. Schulze, C. Luders, Theory and Applications of OFDM and CDMA- Wideband Wireless Communications, John Wiley & Sons Ltd, 2005.
|
.
- التصنيف : هندسة الاتصالات - النوع : هندسة الاتصالات - المجلد : المجلد الأول، طبعة 2015، دمشق - رقم الصفحة ضمن المجلد : 151 مشاركة :









