الأكسدة والإرجاع
اكسده وارجاع
Oxidation-reduction - Oxydoréduction
يمن الأتاسي
أنواع تفاعلات الأكسدة والإرجاع
الأكسدة والإرجاع oxidation-reduction مصطلح يطلق على كل تفاعل كيميائي يتم فيه انتقال إلكترونات من جسم قادر على تقديم إلكترون أو أكثر يدعى مرجعاً، كما يعرف أيضاً باسم «مانح الإلكترونات» إلى جسم يتلقى الإلكترونات يدعى مؤكسداً ويُعرف أيضاً باسم متقبِّل الإلكترونات، ويوافق كل شكل مؤكسدٍ (Ox)-oxidant لنوع كيميائي شكلٌ مرجعٌ reductant (Red) وذلك وفق المخطط الشكلي (1):

وهذا يعني إمكان التحول من
إلى
وبالعكس عبر انتقال الإلكترونات. هذه الكتابة شكلية لأنّ الإلكترونات لا توجد عادة بحالة حرة. ويقال إنّ المؤكسد والمرجع المرتبطين بالمخطط الشكلي السابق مترافقان، وإنهما يشكّلان زوجاً (مؤكسِد-مرجِع) ويكتب
.
فعنصر الحديد - على سبيل المثال - يسهم في الزوجين (
) التاليين (2 و3):
الزوج
:

الزوج
: 
ويفيد مفهوم عدد الأكسدة oxidation number (اختصاراً
) في تحديد حالة الأكسدة لعنصر سواء أكان هذا العنصر حرّاً أم مرتبطاً بذرّات أخرى ضمن بنيان جزيئيّ أو إيوني (شارديّ).
ويُفيد عدد الأكسدة في حساب حالة أكسدة ذرة في مركب معين بافتراض أن الروابط المختلفة بين ذرات المركب روابط إيونية (شاردية). وفيما يلي القواعد التي تفيد في تحديده:
1-عدد أكسدة عنصر في إيون وحيد الذرّة يساوي عدد الشحنات الكهربائية التي يحملها هذا الإيون مع إشارتها.








وفي حالة وجود رابطة مشتركة covalent بين عنصرين ضمن بنيان متعدّد الذرات؛ فإنّ إلكترونات الرابطة تُسنَد إلى العنصر الأكثر كهرسلبية، ومن ثمّ فإنّ عدد الأكسدة لكلّ عنصر من العناصر المشكّلة لهذا البنيان يساوي عدد الشحنات الاعتبارية المسندة إليه.
ومنه ينتج
2 - عدد الأكسدة للعناصر في الأجسام البسيطة يساوي الصفر.

3 - لإيجاد عدد أكسدة عنصر في بنيان متعدّد الذرات:
• يكتب تمثيل لويس لهذا البنيان.
• تسند ثنائيّة كلّ رابطة بين ذرتين إلى الذرّة الأكثر كهرسلبية.
• يؤخذ محصّلة الشحنات.
4 - يقضي انحفاظ الشحنة في بنيان تشاركي أن يكون المجموع الجبري لأعداد الأكسدة مضروباً بعدد الذرات لهذه العناصر في الصيغة مساوياً عدد الشحنات الكلّية للبنيان.
مثال الماء والماء الأكسجيني:

وفي SO2 - على سبيل المثال - تأخذ كل ذرة أكسجين إلكترونين أي المجموع (-4) من ذرة الكبريت، وبما أن الشحنة الكلية للمركب تساوي الصفر فعدد أكسدة الكبريت +4. أما في
فإن عدد أكسدة الكبريت +6 (-8+6= -2). أما في H2S فالكبريت أكثر كهرسلبية من الهدروجين (عدد أكسدته +1) فعدد أكسدة الكبريت (-2).
فالأكسدة هي خسارة الإلكترونات أو ازدياد عدد أكسدة نوعٍ كيميائي. والإرجاع هو ربح الإلكترونات أو انخفاض في عدد أكسدة نوعٍ كيميائي.
وتفاعل الأكسدة والإرجاع هو تفاعل يعبر عن التبادل الإلكتروني بين الزوجين
و
بحيث تنتقل الإلكترونات من المرجع
إلى المؤكسِد
أي (المعادلة 4):

وتكون المعادلة المحصّلة الإجمالية هي (المعادلة 5):

مثال ذلك التفاعل الذي يحصل عندما يضاف قليل من مسحوق الزنك (التوتياء) إلى محلول من كبريتات النحاس CuSO4، فيلاحظ أنّ لون المحلول الأزرق قد أخذ بالاختفاء تدريجياً، كما يلاحظ ترسّب النحاس الأحمر فوق مسحوق التوتياء. والمعادلة المحصّلة لهذا التوازن هي (المعادلة 6):

تغير أعداد الأكسدة
إن المعادلة المحصّلة لاحتراق الصوديوم في جوّ من غاز الأكسجين هي (المعادلة 7).

يلاحظ أنّ الصوديوم قد تأكسَد وعدد أكسدته قد ازداد؛ والأكسجين قد أُرجع وعدد أكسدته قد نقص، فعندما يتأكسد عنصر يزداد عدد أكسدته، في حين ينقص عدد الأكسدة عندما يُرجَع هذا العنصر.
أنواع تفاعلات الأكسدة والإرجاع
هناك أربعة أنواع شائعة لتفاعلات الأكسدة والإرجاع:
1)الاتحاد: تحصل تفاعلات الاتحاد عندما تتّحد مادتان متفاعلتان لتكوّنا مركباً وحيداً، مثال ذلك تفاعل المغنزيوم مع اليود (المعادلة 8):

2) التفكّك: تحصل تفاعلات التفكّك عندما تتفكّك المادة المتفاعلة إلى ناتجين مختلفين ومثال ذلك تفكّك كلورات البوتاسيوم إلى كلوريد البوتاسيوم والأكسجين وفق المعادلة (9):

3) الإزاحة: تحصل تفاعلات الإزاحة عندما يزيح عنصرٌ عنصراً آخر من مركّب في أثناء التفاعل الكيميائي. مثال ذلك تفاعل النحاس مع نترات الفضة (المعادلة 10):

(aq) تعني محلول، (s) تعني صلب
4) الاحتراق: تحصل تفاعلات الاحتراق عندما تتفاعل مادة (ركيزة) مع الأكسجين، وعادة يُصاحب التفاعل انطلاق حرارة قد تنتج لهباً. مثال ذلك احتراق الهدروجين بالأكسجين لإعطاء الماء (المعادلة 11):

قوة المؤكسِدات والمرجعات
بما أن المؤكسِدات هي المواد التي لها القدرة على أكسدة موادّ أخرى وانتزاع إلكترونات منها فهي عادة المواد ذات حالات الأكسدة المرتفعة مثل الماء الأكسجيني والبرمنغنات والبيكرومات أو المواد العالية الكهرسلبية مثل الأكسجين أو الفلور. أما المرجِعات فهي تلك التي لها القدرة على إرجاع مواد أخرى، وهي عادة معادن كهرجابية مثل الليثيوم والصوديوم، وهناك أيضاً هدريدات المعادن مثل LiAlH4 وNaBH4.
ويكون تفاعل الأكسدة والإرجاع تلقائياً عندما يتفاعل المؤكسِد الأقوى من الزوجين
و
مع المرجِع الأقوى من هذين الزوجين ليُعطي المؤكسِد الأضعف والمُرجِع الأضعف، ففي تفاعل النحاس مع نترات الفضة (المعادلة 12):

يلاحظ أنّ النحاس عنصر إرجاع أقوى من الفضة؛ وإيون الفضة مؤكسد أقوى من إيون النحاس.
كمون الأكسدة والإرجاع وسلسلة النشاط الكيميائي
يُسمَّى نصف خلية كلّ اجتماع لنوعين
و
من زوج
إضافة إلى محلول كهرليتي يكون على تماس مع ناقل. يمكن أن يكون الناقل أحد نوعي الزوج
. ويمكن للنوعين
، و
أن يكونا صلبين أو غازيين أو منحلَّين في الكهرليت. مثال ذلك:
- سلك من البلاتين في محلول يحوي إيونات
و
من زوج
.
- صفيحة بلاتين عليها بلاتين حُبيبي في محلول من حمض كلور الماء
ويُنفَخ فيها غاز 
الزوج
.
- صفيحة من الفضة في محلول من نترات الفضة
الزوج
.
ويسمّى عادة مسرى )إلكترود (electrode الناقل الذي يحقّق الربط الكهربائي مع دارة خارجية، ولكن تُعمّم هذه التسمية أحياناً على نصف الخلية ويسمى مسرى كما في حالة مسرى الهدروجين. يُسمى المسرى مصعداًanode عندما يحصل عنده تفاعل أكسدة، وبالمقابل يُسمى المسرى مهبطاً cathode عندما يحصل عنده تفاعل إرجاع.
والخلية الغلفانية أو الخلية الكهركيميائية هي اجتماع نِصفَي خلية مربوطين بوصلة كهرليتية. ويمكن أن تكون هذه الوصلة الكهرليتية غشاءً مسامياً أو كهرليتاً مثبّتاً في هلام، ويُعبّر كمون الأكسدة والإرجاع (الذي يحمل أيضاً اسم كمون الإرجاع) عن ميل النوع الكيميائي إلى كسب إلكترونات ومن ثمّ إرجاعه. ويُقاس كمون الإرجاع بالفولط، ولكلّ نوع كمون إرجاع خاص به، وكلّما كان الكمون موجباً أكثر؛ كان النوع أكثر ميلاً إلى كسب الإلكترونات؛ أي إن ميله لكي يُرجع أكبر. ولما كان من المتعذّر قياس الكمون مباشرة فقد قام الكيميائيون بقياس كمون الإرجاع لجميع الأزواج Ox/Red بالنسبة إلى مسرى مرجعي هو مسرى الهدروجين القياسي (الشكل (1. يتكون هذا المسرى من صفيحة من البلاتين مغموسة في محلول من حمض كلور الماء بتركيز مول واحد/لتر، ويُضخّ فيه غاز الهدروجين عند ضغط 1 بار. وقد اصطُلِح على أن يكون كمون مسرى الهدروجين مساوياً الصفر فولط.
![]() |
|
الشكل :(1) تبعاً لطبيعة القطب المتشكّل عند مسرى نصف الخلية المصاحبة لمسرى الهدروجين النظامي؛ فإنّ E(Ox/Red) تكون موجبة (1) أو سالبة (2). |
بناء على الكثير من التجارب المبنيّة على تفاعلات مثل تلك الموضحة أعلاه جرى ترتيب الأزواج Ox/Red في سلسلة تحمل اسم سلسلة النشاط الكيميائي (السلسلة الكهركيميائية) وذلك وفق قيم كمونات الأكسدة والإرجاع القياسية E0. ويبين الجدول (1) أمثلة على قيم الكمونات لبعض الأزواج:
|
||||||||||||||||||||||||||||||||||||||||||||||||||||||||||||||||||||||||||||||||||||||||||||||||||||||
تعتمد معايرات الأكسدة والإرجاع تفاعل أكسدة وإرجاع بين مادة مجهولة التركيز ومادة أخرى معايِرة تركيزُها محدّد بدقة. هناك طريقتان أساسيتان لتحديد نقطة انتهاء التفاعل إما بالاعتماد على تغيّر اللون (المعايرة اللونية)؛ وإما بقياس تغيرات كمون الأكسدة والإرجاع للمحلول في أثناء المعايرة (المعايرة الكمونية).
1 - المعايرات اللونية
إن تفاعل معايرة أكسيد الكبريت (IV) بإيون البرمنغنات وفق المعادلة المحصلة (المعادلة 13):

أو معايرة اليود بإيون الثيوكبريتات وفق المعادلة المحصلة (المعادلة 14):

أو معايرة إيونات الحديد (II) بإيونات السيريوم (IV) (المعادلة 15):

هي جميعها تامة وسريعة ولا توجد تفاعلات ثانوية أخرى مرافقة لها، وهذه شروط رئيسة يجب أن تتحقق عند اختيار مادة لمعايرة مادة أخرى بها، وعند نقطة انتهاء التفاعل تكون الموادّ المتفاعلة ممزوجة وفق النسب التفاعلية؛ أي إنّ عدد الإلكترونات التي اكتسبها المؤكسِد يساوي عدد الإلكترونات التي قدَّمها المرجِع مما يسمح بتحديد التركيز المجهول.
يمتاز التفاعلان الأول والثاني بأنّ إحدى المواد المتفاعلة (أو إحدى المواد الناتجة من التفاعل) تظهر بلون مميّز، وهذا يسهّل تحديد نقطة انتهاء التفاعل.
ففي التفاعل الأول تكون إيونات البرمنغنات
بنفسجية؛ في حين أنّ إيونات المنغنيز
عديمة اللون. وفي التفاعل الثاني يكون محلول اليود أصفر بنّياً؛ في حين أنّ إيونات اليود عديمة اللون.
أما في التفاعل الثالث فيستعمل عادة مشعر أكسدة وإرجاع هو الأورثوفينانترولين بصفته مشعراً بنهاية التفاعل؛ إذ يأخذ اللون الأحمر بوجود إيونات الحديد (II) واللون الأزرق بوجود إيونات الحديد (III).
وتسمّى المعايرات السابقة بالمعايرات اللونية؛ لأنّها تعتمد على تغيّر اللون في تحديد نقطة انتهاء التفاعل، وفي الحالات التي يتعذّر فيها الاعتماد على اللون يُلجأ إلى طريقة المعايرة باستخدام مقياس الكمون حيث تقاس تغيرات كمون المحلول أثناء المعايرة، وتكون المعايرة أكثر دقة من الطريقة اللونية.
2 - المعايرات الكمونية
تعتمد على تغيّر كمون الأكسدة والإرجاع في أثناء المعايرة. يوضح الشكل (2) الترتيب التجريبي للمعايرة الكمونية، فلمعايرة إيونات الحديد (II) بإيونات السيريوم (IV) على سبيل المثال بطريقة كمونية (المعادلة 16):

![]() |
|
الشكل(2) : الترتيب التجريبي المستخدم في معايرة Fe2+ بإيونات Ce4+. |
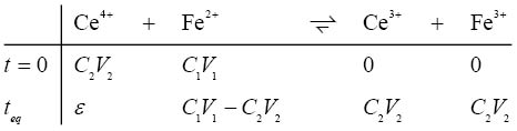
يضاف حجم
من محلول كبريتات السيريوم
بتركيز
إلى حجم
من محلول كبريتات الحديد
ذات التركيز
، فعند نقطة نهاية التفاعل يحقّق عدد الإلكترونات المتبادلة المساواة

أي

يعّرف المقدار
بالعلاقة
، ويلاحظ أنّ

دراسة نظرية للمنحني
:
إن تغيّر كمون الأكسدة/إرجاع للزوجين في المحلول عند التوازن بدلالة
. هو كما يلي:
- حالة
أو
.
لا يحوي المحلول نظرياً سوى إيونات الحديد
، ومن ثمّ لا يمكن تطبيق علاقة نرنست لحساب كمون الزوج
(المعادلة 18).

حيث
كمون المسري العياري و T درجة الحرارة المطلقة،R ثابتة الغازات الكاملة، n عدد الإلكترونات التي تنتقل من المرجع (وهو العدد الموجود في نصف التفاعل). و
،
فعاليةالمؤكسد OX وفعالية المرجع Red في المحلول، ويمكن تبديل الفعالية بالتركيز إذا كان المحلول ممدداً، وعند درجة الحرارة 52oس تكون E (المعادلة 19):

ولكن عملياً يحوي المحلول إضافة إلى
آثاراً قليلة جدّاً من
مردُّها أكسدة الأكسجين المنحل في الماء لإيونات الحديدي وبذلك يمكن قياس كمون الزوج
، وتتغيّر القيمة المقيسة تبعاً لمدى كون المحلول المعايَر «طازجاً».
- حالة
أي
.
في كل لحظة من المعايرة، تقضي الأمثال في التفاعل بأن يكون (المعادلة 20):

أي إنّ
، ومنه:

ويتحدد كمون الزوجين في المحلول في كل لحظة بتطبيق علاقة نرنست على أحد الزوجين، وقبل نقطة نهاية التفاعل يكون من الأسهل تطبيق علاقة نرنست على الزوج
(المعادلتان 21 و22):


وبقسمة البسط والمقام داخل اللوغاريتم على
، يكون (المعادلة 23):

لأن
، ويُلاحظ أنّه عند نقطة المنتصف من انتهاء التفاعل، أي
، يكون (المعادلة 24):

- عندما
أي
.
أي عند نقطة انتهاء التفاعل تكون إيونات
وإيونات
ممزوجة وفق النسب الستوكيومترية، أي إنّ (المعادلة 25):

وبما أنه في كل لحظة من المعايرة يكون :
ينتج أن:

أي إنّ
، وعليه (المعادلتان 26 و27):


وبجمع العلاقتين السابقتين ينتج (المعادلة 28):

وبعد الاختزال (المعادلة 29):

- عندما
أي
.
لا توجد في هذه الحالة من إيونات الحديد
إلاّ آثار قليلة جداً، ويصبح من الأسهل حساب كمون المحلول باستخدام الزوج
(المعادلتان 30 و31):


ومنه ينتج باستخدام علاقة نرنست (المعادلة 32):

وتكون (المعادلة 33):

ويبين الشكل (3) المنحني
:
![]() |
|
الشكل (3): المنحني E=f(x) عند معايرة إيونات Fe2+ بوساطة إيونات Ce4+ |
|
مراجع للاستزادة: - يُمن الأتاسي، كيمياء المحاليل المائية، منشورات المعهد العالي للعلوم التطبيقية والتكنولوجيا، دمشق 2011. - Dictionary of Scientific and Technical Terms, McGraw -Hill, 1989. |
- التصنيف : الكيمياء الفيزيائية - النوع : الكيمياء الفيزيائية - المجلد : المجلد الثاني، طبعة 2016، دمشق مشاركة :






























































































