أمثلة التصميم
امثله تصميم
Design optimization - Optimisation de la conception
فائق ديكو
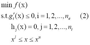
يُقصد بأمثَلَة (استمثال) التصميم design optimization تطبيق التقنيات والخوارزميات العددية على المنظومات الهندسية بهدف مساعدة المصمِّمين على تحسين أداء المنظومة ووزنها وموثوقيتها وتكلفتها.
تُوصَّف المنظومات الهندسية النموذجية بوساطة عدد كبير من المتغيِّرات variables، ويقع على عاتق المصمِّم عادةً تحديد قيمها المناسبة. يستخدم المهندسون المتمرسون معارفهم وتجاربهم ومهاراتهم لتحديد تلك المتغيِّرات، ولتصميم منظومات هندسية فعالة. إلا أن تعقيد مهمة التصميم لا يسمح حتى للمصمِّمين الأكثر خبرة بأخذ جميع تلك المتغيِّرات بالحسبان بآنٍ واحدٍ، وهذا ما يفرض استخدام منهجيات أمثَلَة التصميم.
تُطبَّق طرائق الأمثَلَة خلال مرحلة تطوير المنتَج لضمان تحقيق التصميم المنجَز للمتطلبات المنشودة. كما يمكن تطبيقها على المنتجات الموجودة لتحديد التحسينات القابلة للإدخال على التصميم القائم.
تعتمد أمثَلَة التصميم على نموذج رياضي لمنظومة (أو منتَج) يجري تصميمه. يبيّن الشكل (1) عملية أمثلَة التصميم بصورتها العامة.
![]() |
| الشكل (1) مراحل أمثلة التصميم |
تتمثل الخطوة الأولى في بناء نموذج أمثَلَة بصيغة رياضيَّة، وتسمى هذه الخطوة نمذجة الأمثَلَة. تشتمل هذه الخطوة على اتخاذ عدَّة قرارات مثل: ماذا سيجري أمثَلَته، وماذا سيتغير للحصول على تصميم مثالي، وما هي المتطلبات الواجب تحقيقها. وتُعدّ النمذجة الخطوة الأهم في أمثَلَة التصميم، لذا قد تستغرق وقتاً طويلاً.
أما الخطوة الثانية فهي حل مشكلة الأمثَلَة، يجري في هذه الخطوة إيجاد الحل الأمثل استناداً إلى نموذج الأمثَلَة. تُسْتَخْدَم عادة لهذه الغاية ثلاث طرائق هي: الطريقة التحليليَّة، الطريقة البيانية (الرسوميَّة)، الطريقة العددية (الرقمية).
تشتمل الخطوة الأخيرة على تحليل نتائج عملية الأمثَلة. يقوم المصمِّمون في هذه الخطوة بتحليل التصميم المثالي الناتج لتحديد مجموعة من النقاط مثل: كون التصميم مثالياً فعلاً، قابليته للإنتاج، ملاءمته للمتطلبات، متغيِّرات التصميم الأهم (تحليل الحساسية)، كيفية تحسين التصميم مجدداً بتعديل نموذج الأمثَلَة.
عملية الأمثَلَة هي عملية تكرارية، فإن لم يكن الحل التصميمي مُرضياً، يقوم المصمِّم بتعديل نموذج الأمثَلَة ويكرِّر الإجرائيات حتى الوصول إلى التصميم المطلوب.
أ- النموذج الرياضي
يُعطَى نموذج الأمثَلَة العام بالعلاقة (1).

وفيها تمثل
المتغيِّرات التصميمية التي سيجري تحديدها خلال التصميم، والتابع
تابع الهدف objective function، والذي سيجري الانتهاء به إلى الحد الأدنى أو الأعلى، أما التابع
فهو تابع القيد constraint function، والذي يجب أن يحقق المساواة وعدم المساواة الواردتين بالمعادلة (1). أما الثابت
في الجهة اليمنى من تابع القيد
فيمثِّل حد تابع القيد، وأخيراً يمثل
و
الحدين الأدنى والأعلى للمتغيِّر
.
يمكن تفسير النموذج أعلاه على أنه البحث عن أفضل مجموعة من متغيِّرات التصميم
التي يمكن الوصول معها إلى الحدِّ الأدنى أو الأعلى من تصميم تابع الهدف
، مع مراعاة قيود التصميم
.
حيث إنَّ تكبير التابع
إلى الحدِّ الأعظمي؛ يكافئ تصغير التابع
أو التابع
إلى الحدِّ الأدنى، وحيث
إنَّ عدم المساواة
يمكن كتابتها على الشكل
، حيث
، فيمكن كتابة نموذج الأمثَلَة الرياضي العام بالشكل المبيّن بالعلاقة (2).

حيث
هو شعاع متغيِّرات المنظومة، وكل من
و
الحدود الدنيا والعليا لمتغيِّرات المنظومة.
تسمى
قيود عدم المساواة، و
قيود المساواة، أما كل من
و
فهي أرقام قيود المساواة أو عدم المساواة.
يمكن من نموذج الأمثَلَة ملاحظة ثلاثة مكوّنات أساسية لمشكلة الأمثَلَة هي: متغيِّرات التصميم هدف التصميم، قيود التصميم.
ب- متغيِّرات التصميم
يقع متغيِّر التصميم (متغيِّر القرار، متغيِّر التحكم) تحت سيطرة صانع القرار (المصمِّم)، والتي يمكن أن يكون لها تأثير على حل مشكلة الأمثَلَة. يجري تحديد تصميم ما على نحوٍ أساسي بمجموعة من متغيِّرات التصميم. تمثل التركيبات المختلفة من متغيِّرات التصميم تصميمات مختلفةً. فعلى سبيل المثال إذا كان المطلوب تصميم وعاء مكعب، والذي تمثله مجموعة من متغيِّرات التصميم (الطولl، العرض w، الارتفاع h) فإن متغيِّرات التصميم تكون
ويكون التصميم
مختلفاً عن التصميم
لكونهما يملكان سمات مختلفة، أو يقدِّمان أداءً مختلفاً (من حيث الحجم والتكلفة والمتانة وغيرها). ويكون الهدف من أمثَلَة التصميم العثور على التركيبة الأمثل من متغيِّرات التصميم التي تحسّن إلى الحدّ الأقصى خيارات المصمِّم (هدف التصميم) ضمن قيود التصميم. فعلى سبيل المثال لتصميم الوعاء المذكور أعلاه؛ يتمثل الهدف في البحث عن أفضل مجموعة من متغيِّرات التصميم (طولl ، عرض w، ارتفاع h) التي تحقق خيارات المصمِّم ومتطلباته (الحجم ، التكلفة ، المتانة ، وغيرها).
يمكن أن يكون متغيِّر التصميم:
- متغيِّراً مستمراً، أو
- متغيِّراً صحيحاً، مثلاً عدد أسنان مسنن، أو نوع المادَّة، أو
- متغيِّراً محدَّداً، بمعنى أنَّه يؤخذ من مجموعة قيم محدَّدة. فعلى سبيل المثال؛ إذا جرى تصميم عنصر قياسي يمكن اختيار متغيِّرات التصميم الخاص من قائمة القيم الموصى بها (أو المطلوبة) من معايير التصميم أو رموزه.
جـ- هدف التصميم
تمثل أهداف التصميم عادةً رغبات صانع القرار (المصمِّم) بهدف زيادة الربح أو تقليل التكاليف. وبعبارة أخرى يمكن عَدُّ هدف التصميم معياراً يحدِّد ما إذا كان تصميم معين أفضل من غيره. في التصميم الأمثل يُمَثَّل هدف التصميم بتابع رياضي لمتغيِّرات التصميم يُسَمَّى تابع الهدف، وهو (x)F في العلاقتين (1) و(2). تحدِّد تركيبة معيَّنة من متغيِّرات التصميم القيمة المثلى لتابع الهدف.
إن اختيار هدف التصميم المناسب مهم جداً، إذ يمكن أن تؤدي أهداف التصميم المختلفة إلى نتائج تصميم شديدة الاختلاف. ومن الأمثلة على أهداف التصميم: زيادة الإنتاجية، المتانة، الصلابة، الموثوقية، الأمان، خفض التكلفة، الوزن، زمن الإنتاج، الحجم، احتمال الإخفاق.
د- قيد التصميم
بالنظر إلى حقيقة أنه لا يمكن أمثَلَة المتطلبات (مثل زيادة الربح إلى الحد الأعظمي) مطلقاً، نظراً لتوفر حدود للموارد التي يمكن استخدامها في تطوير المنتجات، فإنه يتوجب العمل على تحقيق بعض قيود التصميم (شروط أو قيود). ومن ثمَّ يُمثَل القيد رياضياً بوساطة وظيفة القيد في شكل رياضي كأحد متغيِّرات التصميم، كما جرى تمثيل هدف التصميم رياضياً بوساطة وظيفة الهدف. يمكن أن تكون وظيفة القيد
أو
كما هو مبيّن في نموذج الأمثَلَة في المعادلة (2).
ومن الأمثلة على قيود التصميم:
- أن يكون الإجهاد الأقصى أقل من إجهاد المتانة.
- أن يكون الانحراف أقل من القيمة المسموح بها.
- أن يكون احتمال إخفاق الأداء دون مستوى معين.
- ألا تتجاوز التكلفة الميزانية المحدَّدة.
بالمقارنة مع هدف التصميم تُعدّ قيود التصميم «جامدة» لأنه لا بدَّ من تحقيق كل منها؛ في حين أن هدف التصميم أكثر «مرونة» لأن المطلوب أن يكون قريباً من حدِّه الأعلى (أو الأدنى) بالقدر الذي تسمح به قيود التصميم.
ومن ثمَّ عند بناء نموذج أمثَلَة، يجب مراعاة ثلاثة عناصر هي: متغيِّرات التصميم، هدفه، قيوده.
ثمة طرائق عديدة لحل مشكلة الأمثَلَة؛ من أهمها الأساليب التحليلية، البيانية، العددية.
أ- الطريقة التحليلية
يُستخدم النموذج القياسي في المعادلة (2) لحل مشكلة الأمثَلَة تحليلياً. ويمكن إعادة كتابة النموذج القياسي بشكل آخر. فإذا كانت x نقطة تصميم مثالية تصبح الشروط المبيّنة بالعلاقة (3) صحيحة.
|
حيث
معطاة بالعلاقة (4).

وفيها
تمثل ثوابت غير محدَّدة.
يمكن استخدام المعادلة المكافئة المبيّنة بالعلاقة (5) عوضاً عن استخدام
.
![]() |
يمكن حل نقطة التصميم المثالية x من المعادلات السابقة.
لما كان ممكناً حساب مشتقات تابع الهدف وتابع القيد وحل جملة المعادلات (التي تكون عادة لا خطية)، فإن الطريقة التحليلية هي الأنسب للاستخدام إذا كانت المسألة بسيطة جداً.
ب- الطريقة البيانية
إذا كانت مشكلة الأمثَلَة بسيطة نسبياً- كأن يوجد متغيِّر تصميم واحد فقط أو اثنين- يمكن تصور جميع توابع الهدف وتوابع القيد بمخطط أحادي أو ثنائي البعد. ومن هذا المخطط، يمكن بسهولة تحديد النقطة المثلى.
وتشتمل إجراءات حل مشكلة الأمثَلَة بيانياً على الخطوات الآتية:
- رسم حدود القيود وتحديد منطقة التصميم الممكن.
- رسم حدود تابع الهدف وتحديد الاتجاه الذي سيزداد وفقه التابع أو سينقص.
- تحديد موقع النقطة المثلى. عادةً ما تقع هذه النقطة على حدٍّ أو أكثر من حدود القيد. وبعبارة أخرى، فإن النقطة المثلى عادة ما تكون نقطة مماس بين منحني تابع الهدف وبعض حدود القيد.
- حل نقطة التماس إذا لزم الأمر.
جـ- الطريقة العددية
لا يمكن حل معظم مشكلات أمثَلَة التصميم الهندسي بالطريقة التحليلية أو البيانية نظراً للعدد الكبير من متغيِّرات التصميم وقيوده. فعلى سبيل المثال؛ في تصميم محرِّك السيارة ثمة الآلاف من متغيِّرات التصميم والقيود. ويتمثل السبيل العملي الوحيد لحل مثل هذه المشكلات المعقدة في استخدام الطريقة العددية.
يبدأ التصميم الأمثل في الطريقة العددية من نقطة ابتدائية (نقطة البداية)، وهي تمثل تصميماً أوليَّاً. ليجري بعد ذلك تقييم تابع الهدف وتوابع القيود ومشتقاتها (عند الحاجة)، ثم يجري توليد الحل بفرض خطوات صغيرة جداً في المتغيِّرات وإعادة الحساب. في الدورة الثانية تُحرّك نقطة البداية إلى النقطة الجديدة بخطوة جديدة ليجري بعدها إعادة تقييم التوابع، وتُكرر هذه العملية حتى الوصول إلى نهاية عملية التقييم (التقارب) convergence. إذا لم يجرِ الوصول إلى التقييم النهائي لأي سبب كان، يقوم المصمِّم بتغيير اتجاه البحث وإعادة التقييم حتى الوصول إلى الحل المطلوب. من أشهر الطرائق المستخدمة في الطرائق العددية: التحليل باستخدام العناصر المنتهية finite- element analysis.
|
مراجع للاستزادة: - J. S. Arora, Introduction to Optimum Design, Academic Press, 2004. - S. Asfandyar, M. Rafique, Design Optimization, Lap Lambert Academic Publishing, 2010. - K. Deb, Optimization for Engineering Design: Algorithms and Examples, PHI Learning Pvt. Ltd., 2004. - Y.Tsompanakis et al., Structural Design Optimization Considering Uncertainties, Routledge, 2008. |
- المجلد : المجلد الثالث، طبعة 2017، دمشق مشاركة :


