التحكم الخطي
تحكم خطي
Linear control -
هيام خدام
يهتم التحكم الخطي linear control بدراسة خواص المنظومات الميكانيكية والكهربائية والكهرميكانيكية والحرارية والكيميائية وغيرها من المنظومات العملية؛ لمعرفة سلوكها بحيث يمكن توقع استجابتها لمدخلات مختلفة وتعديل هذا السلوك بوساطة متحكم أو مصحح يغير من خواص هذه المنظومات بحيث تصبح استجابتها المعدّلة قريبة من الاستجابة المرغوبة.
يؤدي التحكم الخطي، والتحكم الذي لا يحتاج إلى تدخل الإنسان، ومن ثمّ المتحكم الآلي automatic controller دوراً مهماً في تطور الهندسة والعلوم. فهو -إضافة إلى أهميته الكبيرة في التحكم في منظومات المركبات الفضائية ومنظومات توجيه الصواريخ ومنظومات الطيار الآلي والمنظومات الإنسالية (الروبوتية)، ومنظومات أخرى مشابهة- أصبح جزءاً متكاملاً ومهماً في الصناعات الحديثة.
ولتحقيق ذلك لا بد من معرفة كيفية وصف الأنظمة بعلاقات رياضية أو لغوية ثم تحليل هذه العلاقات وحلها لمعرفة خرج المنظومة من أجل دخل محدد، وتحديد فيما إذا كان سلوك المنظومة هو السلوك المرغوب فيه أم لا، وفيما إذا كان بحاجة إلى تصحيح أم لا. يدرس ذلك تحت عنوان عريض هو نظريّة التحكم control theory، ويُعدّ التحكم الخطي من حيث التصميم والأداء جزءاً من هذه النظرية وبداية تقليدية لها؛ إذ إنها تفترض الخطية في المنظومة ومركّباتها بحيث تكون الاستجابة متناسبة مع المسبب.
يقصد بمنظومة التحكم: الجملة+ المتحكم.
تُعرَّف الجملة system أو المعالج processor أو حتى المنشأة plant بأنها مجموعة من الأجزاء أو المركّبات تعمل معاً من أجل تحقيق هدف معيّن، وليس من الضروري أن تكون المنظومة فيزيائية، بل قد تكون أي ظاهرة ديناميكية في أي مجال من مجالات الحياة. وتكون المنظومة ديناميكية؛ إذا كان جزء من أجزائها (أحد متغيراتها أو محدداتها أو خواصها) متغيّراً مع الزمن.
يمكن أن تكون المنظومة ممثلة بمعادلة تفاضلية خطية أو لا خطية. ومن المعادلة التفاضلية تُمثَّل المنظومة إما بتابع التحويل transfer function بغية إيجاد حلول لها - على سبيل المثال، عندما تكون المعادلة التفاضلية خطية وبمعاملات ثابتة يمكن تطبيق تحويل لابلاس Laplace transform عليها مع افتراض الشروط الابتدائية صفرية- وإما بأن ينتقل من المعادلة التفاضلية إلى فضاء الحالة state space حيث تمثل أي منظومة بمعادلات الحالة.
1- المخططات الصندوقية وتوابع التحويل
بعد إيجـاد توابع التحويل لجميع العناصـر المكوِّنة للمنظومة يمكن تمثيل منظومة التحكم بمخطط صندوقي. قد يكون للمنظومة عدد من المداخل والمخارج Multiple Input-Multiple Output (MIMO) أو تكون بمدخل وحيد وخرج وحيد (SISO) Single Input-Single Output، وتُعدّ هذه المنظومات أبسطها وأقدمها.
تستخدم بعض مداخل المنظومة للتحكم بمخارجها، فتعرف هذه المداخل عندئذٍ بمداخل التحكم. وهناك مداخل أخرى لا يمكن التحكم بها، هذه المداخل تؤدي إلى إزاحة مخارج المنظومة عن القيمة المرغوبة، وتدعى بمداخل التشويش.
يمكن التمييز بين نوعين مهمين في مجال التحكم: التحكم (الذاتي) في الحلقة المفتوحة open-loop control، والتحكم الآلي في الحلقة المغلقة closed-loop control ذات التغذية الخلفية (الراجعة) feedback control.
- منظومات التحكم ذات الحلقة المفتوحة: تتميز هذه المنظومات بأنها بسيطة، غير دقيقة، ولا يمكن التحكم بها آلياً بسبب عدم وجود مقارنة دقيقة للخرج (القيمة الفعلية) بالدخل (القيمة المرغوبة)، ويكون التحكم في هذه الحالة يدوياً.
يمثل الشكل (1) منظومة التحكم بحلقة مفتوحة، وتستخدم في التطبيقات البسيطة جداً. المشكلة الرئيسية في التحكم ذي الحلقة المفتوحة هي أن الخرج يتأثر إلى درجة كبيرة بتغيرات دخل التشويش.
![]() |
|
الشكل (1) مخطط دخل-خرج منظومة التحكم ذات الحلقة المفتوحة. |
مثال: عند ضبط درجة حرارة غرفة على الدرجة 20°س، سوف تبقى درجة الحرارة ثابتة عند هذه القيمة ما لم يوجد تشويش. وقد يحدث التشويش نتيجة ترك الباب مفتوحاً أو نتيجة تغير درجة حرارة الجو الخارجي. يؤدي وجود التشويش إلى تغير درجة الحرارة في الغرفة، وللحفاظ على درجة حرارة ثابتة فيها؛ لا بد من وجود آلية لضبط خرج الطاقة من جهاز التدفئة لتعويض التغيُّر الناجم عن التشويش، قد تكون يدوية.
- منظومات التحكم الآلي ذات الحلقة المغلقة: هذه المنظومات تجعل الخرج يتبع الدخل بدقة عن طريق المقارنة بالتغذية الخلفية، حيث يكون هناك كاشف للخطأ (مقارن) يعطي إشارة متناسبة مع الفرق بين الدخل والخرج (الخطأ).
وفيما يخص منظومة التحكم بدرجة حرارة غرفة مثلاً، يكون المتطلب الأول هو كشف التغيرات في درجة حرارة الغرفة أو تحسسها. والمتطلب الثاني هو التحكم بخرج الطاقة من جهاز التدفئة في حال كانت درجة حرارة الغرفة مختلفة عن درجة الحرارة المطلوبة. وعموماً يجب أن تحتوي أي منظومة تحكم بخرج الجملة على حساس واحد على الأقل وعلى متحكم، كما هو مبين في الشكل (2).
![]() |
|
الشكل (2) مخطط دخل-خرج منظومة التحكم ذات الحلقة المغلقة. |
بعد وضع المخطط البنيوي لمكونات المنظومة تأتي مرحلة وضع المخطط الصندوقي، وذلك بإيجاد توابع التحويل لجميع العناصر المكونة للمخطط البنيوي كالجملة والمتحكم والحساسات وغيرها. قد يكون المخطط الصندوقي معقداً جداً وفيه تداخلات بحسب طبيعة المنظومة والعناصر المكونة له.
بعد إيجاد توابع التحويل انطلاقاً من المعادلات التفاضلية يمكن اختصار المخطط الصندوقي إلى الشكل المبسط كما في (الشكل 3):
![]() |
|
الشكل (3) مخطط صندوقي مبسط لمنظومة التحكم في الحلقة المغلقة. |
حيث:
R(s) إشارة الدخل: وهي القيمة المطلوبة للمتغير المُراد التحكم به أو ضبطه.
Y(s) إشارة الخرج: وهي القيمة الفعلية للمتغير المُراد التحكم به أو ضبطه.
E(s) إشارة الخطأ: وهي الفرق بين القيمة المطلوبة والقيمة المقيسة للمتغير المُراد التحكم به أو ضبطه.
Geq(s): تابع تحويل المسار الأمامي.
H(s): تابع تحويل المسار الخلفي أو التغذية الخلفية.
يعطى تابع تحويل الحلقة المفتوحة للمنظومة المقابل للمخطط الصندوقي في الشكل (3) بالعلاقة (1):
![]() |
حيث H(s)هنا هو تابع التحويل من الخرج إلى الدخل عندما تكون الحلقة مكسورة.
ويحسب تابع تحويل الحلقة المغلقة بالعلاقة (2):
![]() |
ويحسب تابع تحويل الخطأ بالعلاقة (3):
![]() |
حيث يجري إيجاد توابع التحويل ضمن المخطط انطلاقاً من المعادلات التفاضلية.
إيجاد تابع التحويل من المعادلة التفاضلية
بتطبيق تحويل لابلاس على المعادلة التفاضلية ذات المعاملات الثابتة، وبفرض الشروط الابتدائية صفرية (بفرض أن جميع المنظومات تبدأ من حالة السكون)؛ في هذه الحالة يمكن عزل الخرج عن الدخل وإيجاد تابع التحويل.
توصيف الحالة: توصف حالة جملة ما بأقل كمية لازمة من المعلومات تعيّن وضع الجملة الفيزيائية في لحظة ما، وتسمح بتحديد وضع الجملة في أي لحظة قادمة، وذلك بعد معرفة المعادلة التفاضلية التي تصف هذه الجملة، وكذلك بعد معرفة إشارة الدخل.
متحولات الحالة: هي أصغر عدد من المتحولات المطلوبة لوصف طبيعة المنظومة وتحديد سلوكها، وليس شرطاً أن تكون قابلة للقياس.
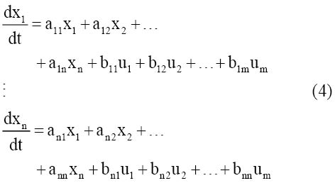
معادلات الحالة: توصف حالة المنظومة بمجموعة من المعادلات التفاضلية من الدرجة الأولى بدلالة متحولات الحالة ومتحولات الدخل، وتعطى الصيغة العامة من أجل منظومة MIMO بالعلاقة (4):
![]() |
ويمكن كتابة هذه المعادلات إضافة إلى معادلة الخرج بشكل معادلات مصفوفية كما في المعادلتين (5) و(6):
![]() |
![]() |
حيث:
|
|
شعاع الحالة. |
|
|
|
مشتق شعاع الحالة. |
|
|
|
شعاع الدخل. |
|
|
|
شعاع الخرج. |
|
|
|
مصفوفة الحالة للمنظومة |
|
|
|
مصفوفة التحكم |
|
|
n>m، |
مصفوفات الخرج. |
|
ويمكن استنتاج معادلات الحالة إما من المعادلة التفاضلية للمنظومة؛ وإمّا من تابع التحويل.
استنتاج معادلات الحالة من المعادلة التفاضلية للمنظومة:
تُختار متحولات الحالة بحيث يكون عددها مساوياً درجة المنظومة، ثم يجري إيجاد مشتقات متحولات الحالة من المعادلة التفاضلية، ويمكن اختيار أي متحول في المنظومة كمتحول حالة باستثناء متغيرات الدخل.
استنتاج معادلات الحالة من تابع التحويل:
يمكن استنتاج تمثيل الحالة من تابع التحويل بصيغتين نظاميتين، هما: الصيغة القابلة للتحكم والصيغة القابلة للرصد. مثال: بفرض تابع التحويل معطى بالعلاقة (7):
![]() |
تكون مصفوفات الحالة بالصيغة القابلة للتحكم controllable form (العلاقة 8):
![]() |
حيث تُفرَض العلاقة بين متحولات الحالة كما في العلاقة (9):
![]() |
أما
فتحسب من المعادلة التفاضلية المستنتجة من تابع التحويل.
مصفوفات الحالة بالصيغة القابلة للرصد observable form (العلاقة 10):
![]() |
استنتاج تابع التحويل من معادلات الحالة:
يعطى تابع التحويل بدلالة مصفوفات الحالة بالعلاقة (11):
![]() |
بعد الانتهاء من مرحلة التوصيف والحصول على تمثيل رياضي لكامل المنظومة كتابع تحويل أو معادلات حالة، يجب تحليل سلوك المنظومة من ناحية الاستقرار والاستجابة الزمنية أو الترددية (التواترية).
تكون المنظومة مستقرة إذا كان خرجها محدوداً من أجل دخل محدود. من هذا التعريف يمكن الوصول إلى نتيجة، وهي أن المنظومة الخطية الممثلة بتابع تحويل تكون مستقرة إذا كانت جميع أقطابها واقعة في النصف الأيسر من المستوي العقدي. أما إذا كان أحد أقطاب المنظومة ذا قيمة حقيقية موجبة؛ فتكون المنظومة غير مستقرة. وأقطاب المنظومة هي جذور مقام تابع التحويل (المعادلة المميزة للمنظومة)، وهي ذاتها القيم الذاتية (الخاصة) لمصفوفة الحالة A.
لدراسة استقرار المنظومة الخطية يجب إيجاد جذور المعادلة المميزة لهذه المنظومة، ويكون ذلك بعدة طرائق:
- الحل المباشر للمعادلة المميزة: وهذه الطريقة ممكنة من أجل المنظومات ذات المعاملات الثابتة.
- طريقة روث -هورفيتز Hurwitz -Routh: وهي طريقة جبرية نوعية تحدد الاستقرار نوعياً من المعادلة المميزة للمنظومة، حيث تحدد فيما إذا كانت المنظومة مستقرة أم لا، وفي حالة عدم الاستقرار تحدد عدد الأقطاب غير المستقرة من دون تحديد قيم الأقطاب.
- طريقة المحل الهندسي لمسار الجذور root locus: وهي طريقة تحليلية تحدد كيفية تغير قيمة أقطاب الحلقة المغلقة مع تغير ربح المنظومة انطلاقاً من تابع تحويل الحلقة المفتوحة. حيث تنطلق المسارات من أقطاب الحلقة المفتوحة عند القيمة الصفرية للربح، وتنتهي في أصفار الحلقة المفتوحة، أو في أصفار موجودة في اللانهاية تتحدد وفق مقاربات مع تزايد الربح إلى اللانهاية.
إن تغير خرج المنظومة نتيجة تغيرات الدخل مهمة جداً، وهو ما يسمى "استجابة المنظومة". لذلك لابدّ من تقدير استجابة المنظومة من خلال تحديد نموذج رياضي لها؛ ومن ثمّ فإن معرفة مداخل المنظومة إضافة إلى النموذج الرياضي تسمح بحساب مخارج المنظومة.
يمكن دراسة استجابة المنظومة في المجالين الزمني أو الترددي (التواتري).
- الاستجابة الزمنية: تُدرَس الاستجابة الزمنية عموماً من أجل إشارات دخل محددة كتابع الخطوة الواحدية unit step function أو نبضة ديراك Dirac's impulse أو التابع الخطي المتزايد ramp function. وثمّة نوعان من الخواص الزمنية:
- الخواص في الحالة الدائمة steady state أو المستقرة، وهي متعلقة بإشارة الدخل مباشرة وبنوع المنظومة (عدد المكاملات الموجودة فيه) وبالربح، ويمكن دراستها من خلال الخرج والخطأ في الحالة الدائمة (الخرج المستقر والخطأ المستقر) باستخدام نظرية القيمة النهائية (العلاقتين 12 و13):


- الخواص في الحالة العابرة transient state، وقد تكون الاستجابة مهتزة متخامدة (المنظومة مستقرة) أو مهتزة متباعدة (المنظومة غير مستقرة)، وهذه الخواص تتأثر بقيم ثوابت المنظومة وبدرجتها أيضاً.
تسمى استجابة المنظومة من أجل إشارة دخل خطوة واحدية بالاستجابة الواحدية أو التابع العابر، ويمكن من خلال هذه الاستجابة معرفة خواص المنظومة في الحالتين العابرة والدائمة، كزمن التأخير وزمن الصعود وزمن الاستقرار وقمة التجاوز الأعظمي overshoot (في حالة الاستجابة المهتزة المتخامدة).
أما من أجل إشارة دخل نبضة ديراك؛ فتسمى استجابة المنظومة بالاستجابة النبضية impulse response وهي تساعد على معرفة خواص المنظومة في الحالة العابرة فقط.
- الاستجابة الترددية: تُدرَس الخواص الترددية من أجل إشارة جيبية على الدخل، يُحدد من خلالها مطال amplitude وطور phase (زاوية) تابع التحويل، ويمكن تمثيل المطال والطور إما من خلال المميزة القطبية (مميزة نايكويست Nyquist)؛ وإمّا من خلال الخواص الترددية اللوغارتمية (مخططات بود Bode للمطال والطور).
يمكن دراسة استقرار المنظومة في الحلقة المغلقة من خلال المميزة القطبية أو مخططات بود للمنظومة في الحلقة المفتوحة، كما أن مخططات بود تسمح بتحديد هوامش الربح gain margins والطور phase margins للاستقرار؛ ومن ثمّ يمكن معرفة قيمة الربح التي تجعل المنظومة على حد الاستقرار، وهذا يكافئ تصميم متحكم تناسبي للمنظومة.
يمكن تحسين استجابة المنظومة بإضافة بعض العناصر التحكمية في الحلقة المغلقة؛ بحيث يُقلَّل الخطأ قدر الإمكان. هناك عدة طرائق لتصحيح المنظومات الخطية (تحسين أدائها)، منها عنصر التحكم التناسبي التكاملي التفاضلي Proportional Integral Derivative (PID) عند تمثيل المنظومة كتابع تحويل، وطريقة توضع الأقطاب pole placement بالتغذية الخلفية لشعاع الحالة أو للخرج عند تمثيل المنظومة في فضاء الحالة، ويجب أن يحقق تمثيل الحالة للمنظومة شرطين، وهما قابلية التحكم وقابلية الرصد.
عنصر التحكم التناسبي التكاملي التفاضلي PID: تعطى إشارة خرج المتحكم كما في العلاقة (14):

الحد التناسبي مسؤول عن زيادة سرعة الاستجابة وتقليل الخطأ المستقر قدر الإمكان، والحد التكاملي مسؤول عن جعل الخطأ المستقر صفرياً. إن إضافة الحد التكاملي تسبب اهتزاز الاستجابة، وهنا يأتي دور الحد التفاضلي المسؤول عن تخفيض قيمة التجاوز وإلغاء الاهتزاز. يعتمد تحسين أداء المنظومة بوجود المتحكم PID على الضبط الجيد للبارامترات (
،
،
). يكون ذلك تجريبياً أو باستخدام طريقة زيغلر- نيكولز Nichols-Ziegler، ويمكن ضبطها باستخدام الخوارزميات الجينية genetic algorithms وطرائق أخرى. ويمكن طرح مثالين:المثال الأول: ضبط درجة حرارة غرفة عند درجة محددة
يمكن توصيف المنظومة بالمخطط البنيوي (الشكل 4): يجب التعبير عن درجة الحرارة المطلوبة بالجهد المقابل لهذه الدرجة بوضع متحكم تناسبي فقط في الحلقة، يُلاحظ من دراسة الخواص الدائمة للمنظومة في الحلقة المغلقة أنه لا يمكن جعل الخطأ المستقر صفرياً مهما تغيرت قيمة الربح التناسبي؛ ومن ثمّ لا يمكن ضبط درجة الحرارة على الدرجة المطلوبة.

الشكل (4) عند إضافة حد تكاملي يصبح المتحكم من النوع التناسبي التكاملي (PI) Proportional Integral، يصبح الخطأ المستقر صفرياً؛ ومن ثمّ يمكن ضبط درجة حرارة الغرفة على الدرجة المطلوبة.
المثال الثاني: إيجاد مصفوفات الحالة
ثمة دارة RLC تسلسلية، وبفرض الخرج هو الجهد على المكثف
، والمطلوب إيجاد مصفوفات الحالة بفرض متحولات الحالة هي الخرج ومشتق الخرج، أي:
، وجهد الدخل هو
المعادلة (15):
من الفرض يتبين (العلاقة 16):

ثمّة أيضاً (العلاقة 17):

وبالتعويض في المعادلة التفاضلية (18):

ومن ثمّ تكون مصفوفات الحالة كما في العلاقة (19):

مراجع للاستزادة:
-R. S. Burns, Advanced Control Engineering, Butterworth- Heinemann, 2001.
-R. C. Dorf, R. H. Bishop, Modern Control Systems, Prentice Hall, 2011.- C. H. Houpis and N. Sheldon , Linear Control System Analysis and Design with MATLAB®, CRC Press, 2013.
- M. Ram, T.Dohi, Systems Engineering: Reliability Analysis Using k-out-of-n Structures ,CRC Press, 2019.
- التصنيف : كهرباء وحاسوب - النوع : كهرباء وحاسوب - المجلد : المجلد السادس، طبعة 2020، دمشق مشاركة :



















