التحليل ب-التنشيط
تحليل بتنشيط
Activation analysis -
أحمد سرحيل
أنواع التحليل بالتنشيط النتروني بحسب نوع الفوتونات المقاسة:
أنواع التحليل بالتنشيط النتروني
الطرائق المستخدمة في حساب تركيز العناصر بالتحليل بالتنشيط النتروني
يتناول التحليل بالتنشيط activation analysis تقنيات التحليل الكيميائي العنصري بقذف المادة المراد تحليلها بجسيمات particles أو فوتونات photons تجعلها نشطة إشعاعياً، ثم تتبّع نواتج القذف وقياس كميتها. وتستعمل النترونات في المقام الأول؛ لأنها جسيمات غير مشحونة وعمق اختراقها كبيرٌ، فهي صالحة لكشف معظم عناصر الجدول الدوري، كما تستعمل أشعة غاما استعمالاً محدوداً. وتستعمل في حالات خاصة جسيمات مشحونة مثل البروتونات protons وإيونات الهليوم المسرّعة بمسرّعات مناسبة، تتصف هذه الحالات بعمق اختراق صغير. وقد تكون نواتج القذف نظائر غير مستقرة لعناصر المادة الأصلية تعطي عند تفككها أشعة غاما أو أشعة سينية أو إلكترونات؛ مما يُسهّل كشفها.
يُعدّ التحليل بالتنشيط النتروني أبرز تقنيات التحليل المستعملة اليوم، يليها التحليل باستعمال تقنية التحليل باستعمال البروتونات التي تعطي عادة أشعة سينية مميزة للعناصر، أي إصدار أشعة سينية محرضة بالبروتونات Proton Induced X-ray Emission (PIXE).
اكتُشف التحليل بالتنشيط النتروني Neutron Activation Analysis (NAA) عام 1936 من قبل الهنغاري جورج هيفيسي George de Hevesy والألمانية الدنماركية هيلدا ليفي H. Levi عندما وجدا أن العينات التي تحوي بعض العناصر الأثر (النزرة) أصبحت مشعّة (مثل عنصر الدسبروسيوم Dy) بعد تعرضها لمصدر من النترونات، حيث استخدما المنبع النتروني والتفاعل 
 مع كاشف إشعاعي هو حجيرة التأين، فأدركا إمكان توظيف التفاعلات النووية بين النترونات والعناصر المعدنية الموجودة في العينات، ثم قياس النشاط الإشعاعي للعينات المشعّعة من أجل التحليل الكيفي والكمي للعناصر الموجودة في العينات.
وبعد تطور المفاعلات النووية في أربعينيات القرن الماضي، وتطبيقات الكيمياء الإشعاعية باستخدام كواشف بمقدرة فصل محسّنة (يوديد الصوديوم NaI) في الخمسينيات وتطور أنصاف النواقل والمحلل المتعدد القنوات في الستينيات، وتطور الحواسيب في السبعينيات، والتطورات المتلاحقة؛ أصبحت تقنية التحليل بالتنشيط النتروني من أهم التقنيات النووية المستخدمة في تحليل عناصر الأثر. فهي من الطرق التحليلية الحساسة واللاتخريبية. كما أنها لا تحتاج إلى معالجات معقدة للعينة المحلَّلة، وتعطي تحليل مجموعة من العناصر في الإجراء نفسه، وذلك بتحديد طيف طاقة أشعة غاما المنبعثة من العينة المدروسة ثم قياس شدة النشاط الإشعاعي الذي يتناسب مع كمية العنصر الهدف؛ ليتم حساب تراكيز العناصر الموجودة في العينة. يظهر الشكل (1 -أ) ملخصاً إشعاعياً لما يحدث والشكل (1-ب) الخطوات الرئيسة للتقنية التي تبدأ بالعينة المشععة ثم الكاشف والمضخم الأولي والمضخم والمحلّل يظهر فيه طيف أشعة غاما الناتج وعليه بضعة خطوط أشعة غاما مميزة لعناصر معيّنة.
![]()  | 
		
| الشكل (1) مراحل تقنية التحليل بالتنشيط النتروني. | 
تحدث تفاعلات نووية بين النترونات ونوكليدات العينة التي تتحول إلى نوكليدات مشعة تتفكك تلقائياً إلى نوى أكثر استقراراً بإصدار أشعة كهرطيسية (فوتونات غاما أو أشعة سينية) أو جسيمات أو كلتيهما، ويتم التحليل الكيفي أو الكمي لهذه العناصر من معرفة خطوط إصدار كل منها المميزة وشدتها ومعدل تشكلهاformation rate. ويمكن تصنيف مصادر النترونات neutron sources في:
1- المنابع النترونية النظيرية isotopic neutron sources
هنالك ثلاثة أنواع رئيسية للمنابع النظيرية الأساسية:
أ- منبع فوتونترون (نترون، غاما)
يعتمد هذا النوع من المنابع على البريليوم أوالديتريوم 
 الذي يحرر النترونات عند قذفه بأشعة غاما، ولكن البريليوم هو الأفضل لكون حاجز الطاقة له هو 1.67 ميغا إلكترون فولط وللديتريوم 2.33 ميغا إلكترون فولط. إن المنبع الأكثر شيوعاً هو المنبع المكوّن من 
 مع منبع أشعة غاما الصادرة من نظير الأنتموان 
، إن طاقة النترونات الناتجة من هذا المنبع تقع بين 0.2-0.8 ميغا إلكترون فولط.
ب- منبع ألفا (ألفا، نترون) alpha source
يتكوّن من مصدرات أشعة ألفا في الأصل مع البريليوم، وتتولد النترونات بحسب التفاعل (1):
![]()  | 
		
ويمكن استعمال تفاعلات أخرى من هذا النوع.
ج- منبع الانشطار التلقائي spontaneous fission
هو المنبع النتروني الذي يعتمد على الانشطار التلقائي للنظير المشع مثل الكاليفورنيوم 
 عمر نصفه 2.6 سنة، وهو ينشطر لينتج 3.76 نترون بطاقة 2.348 ميغا إلكترون فولط، ويصدر ميلي غرام واحد منه 
 نترون في الثانية. 
إن أهم ما يميز مولدات النترونات النظيرية هو إمكان تصنيعها على شكل منبع محمول وبتدفق نتروني ثابت، لكن استخدامها في التحليل بالتنشيط النتروني محدود بسبب انخفاض التدفق النتروني الناتج مقارنة بتدفق المفاعلات، ولذلك يستخدم في تحديد تراكيز عناصر لها مقطع عرضي cross section تفاعلي كبير، وتكون بتراكيز كبيرة. فهي تستعمل في تحليل الفلزات minerals، والخلائط والمواد الصناعية، مثال ذلك التحليل الروتيني للفاناديوم في عينات النفط، كما تستعمل على نحو واسع لتحليل الحديد والألمنيوم في مناجم الحديد.
2- نترونات المسرّعات neutron accelerator
يتم إنتاج النترونات من خلال قذف مادة الهدف المناسبة بوساطة الجسيمات المشحونة المسرَّعة. ومن المولدات النترونية الشائعة تلك التي تستخدم الدترونات المسرّعة والتريتيوم كهدف. إن التفاعل النووي الحاصل هو
 . إن طاقة النترونات الناتجة 14 ميغا إلكترون فولط ، ويصل التدفق النتروني إلى 
 نترون سم-2.ثا-1.
تستعمل مولدات النترونات هذه -بسبب إصدارها للنترونات السريعة- لتحديد العناصر ذات المقطع العرضي الكبير في هذا المجال من الطاقة (14MeV)، وأهم ما يميز هذا النوع من المنابع النترونية إمكان إنشائها في المناطق الصناعية. يوجد ـــ على سبيل المثال ـــ نظام مؤتمت يستخدم في شركات النفط لتحليل الأكسجين في منتجات النفط.
3- المفاعلات
تُعدّ المفاعلات النووية بتدفقاتها النترونية العالية الناجمة عن انشطار اليورانيوم من أهم المنابع النترونية المستخدمة على نطاق واسع، وهنالك أنواع مختلفة من المفاعلات المستخدمة، وذلك اعتماداً على توزع طاقة النترونات وتدفقاتها التي تتبع لنوع المهدئات المستعملة لتهدئة نترونات الانشطار الأولية. ويعتمد معظم المفاعلات التي تستعمل لأغراض التحليل بالتنشيط النتروني على انشطار اليورانيوم 235، حيث يُصنع قلب المفاعل من عناصر الوقود التي تحتوي اليورانيوم المخصّب باليورانيوم 235، وتحاط عناصر الوقود بمهدئات (الماء الخفيف، أو الماء الثقيل، أو الغرافيت أو البريليوم) لتبطئة النترونات.
يقسم الطيف النتروني للمفاعل إلى ثلاثة أقسام رئيسية كما يبين الشكل (2) حيث يمثل المحور الشاقولي تدفق النترونات، وهي الآتية:
![]()  | 
		
| 
			 الشكل (2) الطيف النتروني للمفاعل.  | 
		
أ- النترونات الحرارية: هي نترونات ذات طاقة منخفضة تكون في حالة توازن حراري مع الوسط، ولها توزع إحصائي ( توزع ماكسويل - بولتزمان) حول 0.0253 eV عند الدرجة 20°س سرعتها 2200 م/ثا، تصل نسبة النترونات الحرارية في معظم مواقع التشعيع في المفاعلات إلى 90-95 % من النترونات التي تصدم العينة. وعموماً فإن مفاعلاً باستطاعة ميغا واط واحد يمتلك تدفقاً نترونياً حرارياً يصل إلى 
 سم-2. ثا-1. يسمى التحليل الذي يستخدم هذا النوع من النترونات التحليل بالتنشيط النتروني الحراري. 
ب- النترونات فوق الحرارية (التجاوبية أو الطنينية): وتمتد طاقتها من نحو 0.1 - 100 إلكترون فولط. يسمى التحليل الذي يستخدم هذا النوع من النترونات التحليل بالتنشيط النتروني فوق الحراري. وتستعمل فيه كبسولة من الكادميوم أو البور التي تعمل على إيقاف النترونات الحرارية ممّا يجعل التنشيط بالنترونات فوق الحرارية فقط، فتنخفض النشاطية الناجمة عن العناصر غير المرغوب بها على نحو كبير جداً.
ج- النترونات السريعة: وتقع طاقاتها بين 10–100 ميغا إلكترون فولط. يسمى التحليل الذي يستخدم هذا النوع من النترونات التحليل بالتنشيط النتروني السريع، ويستعمل على نحو واسع لتحديد العناصر الخفيفة مثل الأكسجين والآزوت.
أنواع التحليل بالتنشيط النتروني بحسب نوع الفوتونات المقاسة:
1-التحليل بقياسات فوتونات غاما الآنية Prompt Gamma (PGAA): تعتمد هذه الطريقة على قياس أشعة غاما المرافقة لعملية الأسر النتروني بدلاً من أشعة غاما المتأخرة delayed gamma وتُعدّ هذه الطريقة مفيدة على نحو أساسي لكل من العناصرB, Cd, Eu, Gd وSm خاصة في العينات التي يتطلب تحليلها عناية خاصة (العينات النفيسة). تكون قيمة التدفق النتروني في PGAA أخفض بكثير من التدفق النتروني الأساسي المطبق على العينات، ويحافظ بهذه الطريقة على العينات ذات القيمة الثمينة من التخريب بسبب النشاطية المنخفضة والخطر الإشعاعي الكامن المنخفض.
2- التحليل بقياسات فوتونات غاما المتأخرة: وهو النوع الشائع في المفاعلات النووية جميعها، ويستعمل على نحو واسع لتحديد معظم عناصر الجدول الدوري.
يعتمد حدوث التفاعل النووي خلال عملية التشعيع بالنترونات على معدل التشعيع (R) الذي يتناسب طرداً مع كل من التدفق النتروني 
 ومع عدد النوى (N) في الهدف المشعّع (العينة). ويعبر عموماً عن احتمال حدوث التفاعل النووي بمفهوم المقطع الفعّال 
 الذي يُعرّف بالمساحة الجزئية لوجود نوكليد الهدف في منطقة التفاعل، ويقدر عادة بواحدة البارن حيث يساوي البارن الواحد 
. فعند قذف هدف بحزمة نترونية شدتها I نترون بالثانية يكون عدد التفاعلات الحاصلة في الثانية الواحدة (العلاقة 2):
![]()  | 
		
حيث n عدد النوى الموجودة في واحدة الحجم 
، وx سماكة الهدف.
ويمكن كتابة المعادلة (2) على الشكل (العلاقة 3):
![]()  | 
		
حيث: 
 هو تدفق الجسيمات (النترونات) 
، وN عدد نوى الهدف الموجودة ضمن حزمة التدفق النتروني.
إذا كان التفاعل النووي يؤدي إلى تشكل نوكليد مشع فإن معدّل التشكل الإجمالي للنوكليد المشع يكون مساوياً معدل التفاعل مطروحاً منه معدل التفكك، أي كما في العلاقة (4):
![]()  | 
		
وبمكاملة هذه العلاقة خلال زمن التشعيع 
 يُحصل على العلاقة (5):
![]()  | 
		
ويكون النشاط الإشعاعي للنوكليد المشع المتشكل في نهاية التشعيع كما في العلاقة (6):
![]()  | 
		
وإذا تركت العينة مدة بعد التشعيع قدرها 
 يكون النشاط الإشعاعي بحسب العلاقة (7): 
![]()  | 
		
فإذا كانت كتلة العنصر المنشط w، فإن عدد الذرات يساوي (العلاقة 8):
![]()  | 
		
حيث 
 عدد أفوغادرو M الوزن الذري، وعند وجود عدة نظائر لعنصر معيّن في العينة الهدف سيعتمد عدد النوى الموجودة على الوفرة النظيرية للعنصر المدروس 
، فعلى سبيل المثال، يمكن أن يوجد لعنصر الكلسيوم ستة نظائر 
 وإذا كانت نسبة 
 0.185% وجب تصحيح عدد النوى في الهدف باستخدام الوفرة النظيرية 
 فتصبح العلاقة السابقة (8) على النحو التالي (العلاقة 9):
![]()  | 
		
وبالتعويض بالعلاقة (7) تنتج العلاقة (10):
![]()  | 
		
فإذا تم قياس النشاط الإشعاعي للنوكليد المشع المتشكل نتيجة تشعيع العينة في شروط محددة 
 تحسب كمية العنصر الموجود بالعلاقة (11):
![]()  | 
		
وتعدّل هذه العلاقة إذا وجد أكثر من نوع من النترونات.
أنواع التحليل بالتنشيط النتروني
1- التحليل الكيفي qualitative determination
قد تكفي في بعض الأحيان معرفة وجود عنصر ما من عدم وجوده، فتميز النوكليدات المشعة المتشكلة من خلال أطياف أشعة غاما، ويتعرف إليها من طاقات القمم الكهرضوئية في الطيف بحيث يتميز كل نوكليد مشع بطاقة غاما مختلفة عموماً عن بقية النوكليدات، ولكن في بعض الحالات تشترك النوكليدات بطاقة غاما نفسها أو قريبة منها، ولذلك لا بد من اللجوء إلى أكثر من طاقة (قمة) لتأكيد وجود النوكليد، وإذا لم يمكن التأكد بهذه الطريقة، يمكن اللجوء الى تحديد عمر النصف بإعادة القياس خلال فترات زمنية متباينة وحساب عمر النصف، فيكون كل من عمر النصف وطاقة غاما مميزين أكيدين للنوكليد المشع الموجود في العينة.
2-التحليل الكمي quantitative determination
لا بد عند قياس النشاط الإشعاعي للنوكليدات المتشكلة في العينة من معرفة كفاءة الكاشف التي تختلف باختلاف نوعه، فتعدل العلاقة (11) لتصبح العلاقة (12):
![]()  | 
		
حيث C معدّل العدّ، و
 كفاءة الكاشف، وp نسبة تفرع فوتونات غاما.
الطرائق المستخدمة في حساب تركيز العناصر بالتحليل بالتنشيط النتروني
يمكن قياس تركيز العناصر وفق العلاقات السابقة للحصول على التركيز بقيمة مطلقة absolute activation analysis. لكن عدم الثقة في القيم الواجب معرفتها -وخصوصاً في حالات النوكليدات قصيرة العمر- وكبر الارتيابات فيها يستلزم استعمال طرائق أخرى متممة إما للتصحيح وإما للمقارنة، فيوجد طريقة المقارنة المفردة single comparator method بمراقبة التدفق بقياس النشاط الإشعاعي لرقاقة معدنية معروفة 
 ومقارنة هذه القيمة مع قيمة تدفق معيّن 
، فيستعمل عامل تصحيح k (العلاقة 13):
![]()  | 
		
وهكذا يمكن حساب الفعالية النوعية للعنصر المدروس بضرب الفعالية النوعية للرقاقة بالعامل k. ويعمم هذا العامل لنوع معين من النترونات إلى عامل يدعى 
 يعرف بـالعلاقة (14):
![]()  | 
		
ويكون هذا العامل ثابتاً بغض النظر عن موقع التشعيع.
وتوجد الطريقة النسبية التي تعتمد استعمال عينات عيارية تتضمن تحضير عينات عيارية والعينات المراد دراستها، وتشعع معاً وتبرد وتقاس ضمن الشروط نفسها. فتكون النسبة بين كمية العنصر في العينة المدروسة والعينة العيارية كنسبة العدّين أي (العلاقة 15):
![]()  | 
		
والعلاقة الأخيرة هي الصيغة الأساسية الخاصة للطريقة النسبية في التحليل بالتنشيط النتروني. وإن هذه الطريقة ـــ فضلاُ عن أنها تلغي الأخطاء الناجمة عن بعض الثوابت المستخدمة في الطريقة المطلقة - فهي طريقة سهلة وبسيطة وتستعمل على نحو بسيط من قبل المحللين بالتنشيط النتروني.
انصب الاهتمام في بداية السبعينيات على تبسيط التجارب النووية، والدقة العالية في النتائج، وإيجاد المرونة في القياس والتشعيع وإمكان معالجة النتائج حاسوبيّاً، ومن هنا بدأ التفكير في طريقة 
 العيارية K0-standardization للمرة الأولى عام 1975 كبديل للتقنيات الأخرى في التحليل بالتنشيط النتروني، إذ حسب العامل 
 على نحو تجريبي بدقة عالية. وهي طريقة نسبية تعتمد على التشعيع المتزامن للعينات المدروسة مع العينات العيارية لعنصر مقارنة comparator وحيد مثل نظير الذهب 
، ويحسب تركيز العنصر من خلال المقارنة بين النشاطية الإشعاعية الناتجة عن العنصر المدروس بالنشاطية الناجمة عن عنصر الذهب في العينة العيارية، ويحسب تركيز العنصر وفقاً للعلاقة (16):
![]()  | 
		
حيث:
 المساحة تحت القمة الضوئية و
 معامل التصحيح للتفكك. 
معامل التصحيح في أثناء القياس. 
 معامل التصحيح في أثناء التشعيع.
 معامل التصحيح للحجب الذاتي للنترونات الحرارية، و
 معامل التصحيح للحجب الذاتي للنترونات فوق الحرارية، و
 التكامل التجاوبي (الطنيني) (1/E) عند
 وتساوي
. 
 التكامل التجاوبي (الطنيني ) من أجل 1/E لطيف النترونات فوق الحرارية.
 المقطع العرضي للنترونات الحرارية 
؛
 الكفاءة المرجعية للكاشف. 
 انحراف التدفق النتروني فوق الحراري عن 1/E، 
 زمن القياس، وw تركيز عنصر الذهب، و
 ثابت التفكك الإشعاعي 
، و
 زمن التبريد و 
 زمن التشعيع.
-
 وهي نسبة التدفق النتروني الحراري إلى التدفق الفوق حراري، ويحسب تجريبياً من خلال العلاقة (17):
 ![]()  | 
		
حيث: - 
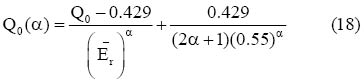
 هو التكامل التجاوبي (الطنيني) ويُحسب من العلاقة (18):
 ![]()  | 
		
حيث:
 معامل التصحيح لنفوذية الكادميوم للنترونات فوق الحرارية. 
 نسبة الكادميوم، وتساوي النشاطية النوعية من دون قميص كادميوم مقسومة على النشاطية النوعية بوجود كادميوم.
 الطاقة التجاوبية (الطنينية) الفعالة.
يعبر الثابت 
 compound nuclear constantعن العلاقة بين معدل النشاطية الإشعاعية الناتجةً من الذرات المدروسة المستقرة بمعدل نشاطية ذرات الذهب المشععة مع العينات باللحظة نفسها، ويعطى هذا الثابت بالعلاقة (19): 
 ![]()  | 
		
حيث:
a ,Au العنصر المدروس والمقارن به، وهو هنا الذهب.
M: الكتلة الذرية 
 و 
: الوفرة النظيرية، و
 نسبة طاقة غاما.
يمكن زيادة حد الكشف باستعمال التحليل بالتنشيط النتروني الدوري Cyclic Neutron Activation Analysis (CNAA) وتحسين الحساسية بالنسبة إلى النوكليدات ذات الأعمار نصف القصيرة ( أقل من 100 ثانية Rh, Se, F, Sc, Hf, O , Ag)، وذلك نتيجة تحسين العد الإحصائي للقمم الضوئية وتخفيض تعداد الخلفية الطبيعية لمجمل الطيف. يتم ذلك بتكرار تشعيع العينة وجمع الطيف بمطيافية غاما عدة مرات، (4-6) مرات، حيث يتم جمع طيف تراكمي للعينة. وتطبق هذه الطريقة على نحو واسع في العينات الحيوية. وقد يتبع إجراء مختلف حيث تُشعّع العينات واحدة تلو الأخرى لزمن قصير نسبياً ، أقل من 60 ثانية، ثم يجمع طيف العينة لمدة 3-5 دقائق، ومن ثم تترك العينات مدة تقارب 24 ساعة. ولتفادي تراكم الخلفية الأرضية التي قد تؤثر في الحساسية للنوكليدات قصيرة العمر، يُعاد تشعيع العينة من جديد ويجمع طيف العينة فوق الطيوف السابقة نفسها وتترك لليوم التالي وهكذا تعاد العملية مرات عدة، تسمى هذه الطريقة التحليل بالتنشيط النتروني شبه المتكرر Pseudo Cyclic Neutron Activation Analysis (PCNAA).
يبين الجدول (1) المعطيات النووية لبعض العناصر التي يتم تحديدها باستخدام كل من التشعيع المتكرر وشبه المتكرر.
وقد يتطلب تحديد التركيز بدقة إضافية فصلاً كيميائياً للتخلص من تداخلات القمم، فيُلجأ إلى طريقة التحليل بالتنشيط النتروني المترافق مع الفصل الكيميائي Radiochemical Neutron Activation Analysis (RNAA).
| 
			 الجدول (1) المعطيات النووية لبعض العناصر التي يتم تحديدها باستخدام كل من التشعيع المتكرر وشبه المتكرر  | 
		||||||||||||||||||||||||||||||||||||||||||||||||||||||||
			
  | 
		
تتدخل الكواشف وتعداد التفككات في الحساب، وتطوَّر دائماً كواشف جديدة وتقنيات تعداد مناسبة لها. وبما أن مطيافية غاما هي أكثر تقنية استخداماً في عملية التحليل بالتنشيط النتروني حيث تقاس أشعة غاما المتأخرة وطيفها. يلحظ تطورها من كاشف عداد غايغر إلى كاشف جرمانيوم عالي النقاوة، تقع كفاءته النسبية بين (25- %100) مع مضخم أولي مرتبط به. والكاشف: مكوّن من بلورة نصف ناقل لها بنية ديود PIN تكون عادة من الجرمانيوم عالي النقاوة أو الجرمانيوم المشوب بالليثيوم. وتشغل عادة الكواشف في درجة حرارة الآزوت السائل -196°س (77 K) والتي تحقق مقدرة فصل عالية. وتحتاج هذه المطيافية أيضاً إلى وحدة تغذية عالية الجهد لتغذية الكاشف (2500 - 5000 V) ومحول تماثلي إلى رقمي analog- to- digital converter ومحلل ارتفاع النبضات متعدد القنوات multichannel analyzer وبرنامج حاسوبي.
في علم الآثار: تستعمل هذه التقنية لتوصيف عينات الآثار(العظام والسيراميك والفخار والزجاج والجواهر والنقود والمعادن والمواد الخام والغضاريات) ولربط القطع الأثرية مع مصادرها من خلال البصمات الشعاعية والعنصرية التي تحملها هذه القطع.
في الكيمياء الحيوية: تُعدّ عناصر النزرة والعناصر المعدنية مفيدة جداً لحياة الإنسان عندما تكون بتراكيز محددة، وتتحول إلى عناصر سامة إذا ارتفع تركيزها عن هذا الحد. لذلك تستخدم تقنية التحليل بالتنشيط النتروني على نحو واسع من أجل دراسة تراكيز عناصر النزرة وامتصاصها من قبل جسم الإنسان.
في علوم الأمراض: تستعمل عينات مثل: الشعر والأظفار والنسج والدم والحشوات السنية والبول، فتعين فيها تراكيز عناصر النزرة المفيدة والعناصر السمية وتأثيرهما في صحة الإنسان. على سبيل المثال: يعدّ عنصر السيلينيوم في عينات الأظفار مؤشراً جيداً على كمية السيلينيوم التي تؤخذ يومياً من قبل جسم الإنسان، حيث يوجد الكثير من الدراسات التي تربط بين تركيز السيلينيوم وأمراض السرطان وأمراض القلب.
في علوم البيئة: يوفر تحليل قطع أو مواد من الحيوانات أو الطيور أو الحشرات أو الأسماك أو الغبار أو المعلقات أو الطعام أو المحاصيل، أو المياه أو النباتات؛ مؤشرات جيدة عن حالة البيئة.
في كشف الجرائم: تُعدّ طريقة التحليل بالتنشيط النتروني من الطرائق المهمة جداً ذات الحساسية الجيدة في تحليل عناصر النزرة والعناصر الرئيسية والعناصر السامة في الأعضاء البشرية، وتحليل أدوات الجريمة المتروكة في مكان الجريمة: مثل بقايا الطلقات النارية أو الشعر أو الزجاج أو الدهان أو الدم.
في الجيولوجيا: تستعمل في تحليل النفط أو الفحم أو المذنبات أو الفلزات أو الرسوبيات أو التربة، وذلك لتعرُّف محيط كلٍّ منها وامتداده.
في المنتجات الصناعية: تحليل مكوّنات إلكترونية أو أسمدة أو مواد عالية النقاوة أو نفايات أو صيدلانيات أو نفط.
في التقانة النووية: تحديد النقاوة في ألياف الكربون المستعملة في أنابيب التشعيع في مفاعل مثلاً، وتحديد تركيب الخلائط المستعملة في المفاعلات ونقاوتها.
يبين الجدول (2) حدود كشف هذه الطريقة وحساسيتها لبعض العناصر المفيد تحليلها بها، وذلك من أجل تشعيع بتدفق 
 نترون في الثانية بالسنتيمتر المربع .
| الجدول (2) حدود الكشف لتقنية التحليل بالتنشيط النتروني. | 
| 
			 مراجع للاستزادة: -S. Amiel, Nondestructive Activation Analysis: With Nuclear Reactors and Radioactive Neutron Sources (ISSN), Elsevier Science 2012. -E. H. Bakraji, I. Othman, A. Sarheel, and N. Al-Somel, Application of Instrumental Neutron Activation Analysis and Multivariate Statistical Methods to Archaeological Syrian Ceramics. Journal of Trace and Microprobe Techniques 2002. - G.Choppin, J.O.Liljenzin, J.Rydberg, Ch.Ekberg. Radiochemistry and Nuclear Chemistry, Academic Press 2013. -A. Kassem, A. Sarheel, and N. Al-Somel, Determination of Trace elements in soil and plants in Orontes basin of Syria by using Instrumental Neutron, Activation Analysis Journal of Radioanalytical and Nuclear Chemistry, 2004. - U. Garbe, F. Salvemini, J. J Bevitt, Neutron Radiography: Wcnr-11 (Materials Research Proceedings), Materials Research Forum LLC 2020.  | 
		
- التصنيف : الكيمياء والفيزياء - النوع : الكيمياء والفيزياء - المجلد : المجلد السادس، طبعة 2020، دمشق مشاركة :
                  
                  



















