التحليل الكيميائي الكيفي العضوي
تحليل كيميايي كيفي عضوي
Organic Qualitative chemical analysis -
التحليل الكيميائي الكيفي العضوي
التحليل الكيميائي الكيفي العضوي
تحضير رشاحة الانصهار الصوديومي
يبدأ التحليل الكيفي للمركّبات العضوية organic qualitative analysis بتعيين العناصر المكوِّنة للمركّب العضوي المدروس، وهو ما يسمى التحليل العنصري. ويجب أن يسبق هذا التحليلُ التحليلَ الوظيفي والتحليل الكمي؛ لأن الطريقة المتبعة في حالة الأخير تختلف بحسب العناصر التي تدخل في تركيب المادة المدروسة. وتستعمل عند الكشف عن العناصر جميعها (عدا الأكسجين) الداخلة في تركيب المادة العضوية تفاعلات كيفية. أما ما يتعلق بالأكسجين فيتم التأكد من وجوده استناداً إلى نتائج التحليل الكمي.
إن ذرات العناصر المكوِّنة لجزيء المادة العضوية مرتبطة بعضها ببعض بروابط مشتركة (تساهمية)، ولذلك فإن المواد العضوية غير قادرة على التأين في محاليل مائية وتكوين إيونات موافقة، في حين أن غالبية التفاعلات الكيفية المستعملة في تحليل المواد العضوية تقوم على تحطيم جزيئها، وخلال ذلك تتحول الذرات الناتجة من تحطمها إلى مركّبات لاعضوية يسهل الكشف عنها بالتفاعلات العادية للكيمياء التحليلية.
1- الكشف عن الكربون:
يكشف عن الكربون في مادة ما بحرقها
في ملعقة معدنية، فإذا اشتعلت بلهب مدخن أو تفككت مع تكوين بقايا متفحمة دل ذلك
على وجود كربون. بيد أنه ليست جميع المواد العضوية قابلة للاشتعال أو التفحم
عند حرقها. والطريقة العامة المجدية للكشف عن الكربون في مادة ما تتم بحرق
مزيجها مع أكسيد النحاس
،
فإذا كانت المادة محتوية على الكربون انطلق غاز ثنائي أكسيد الكربون
الذي يعكر رائق الكلس بسبب ترسب
كربونات الكلسيوم (المعادلتان
1
و2):
![]() |
![]() |
2 - الكشف عن الهدروجين:
يكشف عن وجوده بملاحظة قطرات من الماء تتكون على القسم العلوي البارد من أنبوب الاختبار، ويمكن الكشف عنه بإضافة قليل من مسحوق كبريتات النحاس اللامائية البيضاء، فيتحول لونها إلى الأزرق (المعادلة 3):
![]() |
3- الكشف عن الآزوت والكبريت والهالوجينات:
يدخل في تركيب المواد العضوية إضافة إلى الكربون والهدروجين والأكسجين عناصر أخرى مثل الآزوت والكبريت والهالوجينات. وللكشف عن هذه العناصر تصهر العناصر المجهولة مع الصوديوم، فتتحول نتيجة لذلك إلى مركّبات لاعضوية حلولة في الماء (المعادلة 4):
![]() |
تحضير رشاحة الانصهار الصوديومي:
يوضع في أنبوب زجاجي صغير مقاوم للصهر قطعة صغيرة من معدن الصوديوم (بقدر حجم حبة العدس)، ويضاف إليها بضعة ميلي غرامات من المادة المدروسة، يمسك الأنبوب بملقط، ويسخن بحذر. عندما تبدأ المادة بالتفحم تستمر عملية التسخين حتى يتوهج الأنبوب ومحتوياته بلون أحمر، ثم يغمس الأنبوب المتوهج في كأس زجاجيّة فيها كمية قليلة من الماء، فينكسر الأنبوب، ويتفاعل الصوديوم الذي لم يدخل في التفاعل مع الماء. يسخن المحلول المائي حتى الغليان، ويرشح.
1- الكشف عن الآزوت:
يؤخذ
3-2
مل من رشاحة الانصهار الصوديومي، ويضاف إليها على البارد عدة نقاط من محلول
مشبع من كبريتات الحديد (II)
،
ويسخن المزيج القلوي مدة نصف دقيقة ، يبرد بعدها بسرعة، ويحمض بحمض كلور الماء
. ويدل ظهور اللون الأزرق المخضر وما يليه من تشكل تدريجي لراسب أزرق بروسيا
على وجود الآزوت في المادة المدروسة (المعادلات
5
و6
و7):
![]() |
![]() |
![]() |
أما عند عدم وجود الآزوت في المحلول فيكون لون المحلول أصفر.
2- الكشف عن الهالوجينات:
أ -تفاعل بيليشتاين Beilstein:
يثنى سلك نحاسي من إحدى نهايتيه على شكل حلقة، وتسخن الحلقة على لهب حتى اختفاء لون اللهب الأخضر، يبعد اللهب، ويوضع على الحلقة قليل من المادة، ويعاد تسخين السلك، فإذا احتوت المادة على هالوجين تلون اللهب باللون الأخضر نتيجة لتكون هاليدات النحاس المتطايرة. يمكن الاعتماد على هذا التفاعل في حال عدم وجود آزوت؛ لأنه في حال وجود آزوت يتشكل سيانيد النحاس (II) الذي يلون اللهب بلون أخضر.
ب-الطريقة العامة للكشف عن الهالوجينات:
تؤخذ كمية قليلة من رشاحة الانصهار الصوديومي، وتحمض بقليل من حمض الآزوت nitric acid الممدد، ويضاف إليها عدة قطرات من محلول نترات الفضة. فإذا احتوت المادة المدروسة على الهالوجين تشكل راسب من هاليد الفضة. فإذا كان الراسب أبيض وانحل في هدروكسيد الأمونيوم دل ذلك على وجود الكلور، وإذا كان أصفر باهتاً وقليل الانحلال في هدروكسيد الأمونيوم دل ذلك على وجود البروم.
ويمكن الكشف عن اليود بتحميض قليل
من رشاحة الانصهار الصوديومي بحمض الكبريت الممدد، ثم إضافة قليل من محلول
نتريت الصوديوم
20%
وكمية قليلة من الكلوروفورم
.
يخض المزيج، فإذا تلونت طبقة الكلوروفورم بالبنفسجي دل ذلك على وجود اليود
(المعادلة 8):
![]() |
أما إذا تلونت الطبقة الكلوروفورمية بلون بني فيدلّ ذلك على وجود البروم.
3- الكشف عن الكبريت:
تحمَّض رشاحة الانصهار الصوديومي بقليل من حمض الخل الممدّد ثم يضاف إليها قطرات من محلول خلات الرصاص، فإذا ظهر لون أسود دل ذلك على وجود الكبريت نتيجة تشكل راسب كبريتيد الرصاص الأسود (المعادلة 9):
![]() |
1- الفحوم الهدروجينية المشبعة وغير المشبعة والعطرية:
أ - الميتان: يشتعل الميتان أحياناً بلهب أصفر بسبب وجود الصوديوم في الزجاج. لا يزيل غاز الميتان لون برمنغنات البوتاسيوم البنفسجي أو ماء البروم البني الفاتح عند مروره فيهما؛ وهذا يدل على عدم تفاعله معهما.
ب - الإتلين: يحترق الإتلين بلهب أشد سطوعاً من لهب احتراق الميتان، ويفسر اللهب الساطع وظهور هباب الفحم عند احتراق الإتلين بالاحتراق غير الكامل له بسبب ارتفاع النسبة المئوية للكربون في الجزيء. يكشف عن غاز الإتلين بإزالته لون ماء البروم الأصفر الفاتح ولون برمنغنات البوتاسيوم البنفسجي عند إمراره في محلوليهما (المعادلتان 10 و11).
![]() |
![]() |
جـ - الأستلين: يشتعل الأستلين بلهب مضيء يرافقه هباب الفحم. ويفسر اللهب المضيء وظهور هباب الفحم كما في الإتلين بالاحتراق غير الكامل له بسبب ارتفاع النسبة المئوية للكربون في الجزيء. يكشف عن الأستلين بتكوينه أستليد النحاس (I) البني المحمر عند تفاعل الأستلين الحاوي هدروجيناً طرفياً ذا الخاصة الحمضية مع محلول كلوريد النحاس (I) النشادري وفق المعادلتين (12 و13):
![]() |
ينفجر أستليد النحاس (I) copper acetylide إذا كان جافاً عند تسخينه أو تعرضه للصدمات. كما يكشف عن الأستلين بإزالته لون كل من برمنغنات البوتاسيوم البنفسجي وماء البروم الأصفر الفاتح.
د - الفحوم الهدروجينية العطرية:
تطلق هذه التسمية على أبسط أفرادها، وهو البنزن
benzene
والفحوم الهدروجينية المحتوية في جزيئها على الحلقة العطرية، ويكشف عنها
بالتفاعل مع الكلوروفورم بوجود كلوريد الألمنيوم
،
فيتكون ثلاثي أريل الميتان ومعقد ملون من ثلاثي أريل كلور الميتان وفق المعادلة
(14):
![]() |
لا يضم البنزن إليه البروم، كما أنه يقاوم الأكسدة ببرمنغنات البوتاسيوم، وهو من ثمّ لا يزيل اللون الأصفر الفاتح للبروم ولا البنفسجي لبرمنغنات البوتاسيوم. يمكن أن يستعمل هذا التفاعل أيضاً لتمييز المشتقات الهالوجينية العطرية.
2- الكحولات:
يمكن عدّها فحوماً هدروجينيةً حلت فيها زمرة هدروكسيلية محل ذرة هدروجين. وتصنف الكحولات إلى أحادية أو ثنائية أو ثلاثية أو متعددة الهدروكسيل؛ وذلك بحسب عدد الزمر الهدروكسيلية الموجودة فيها. وتكون الكحولات أولية أو ثانوية أو ثالثية حسبما تكون زمرة الهدروكسيل مرتبطة بذرة كربون أولية أو ثانوية أو ثالثية.
تجري تفاعلات الكحولات بانفصام
الرابطة
أو الرابطة
.
تتخامد فعالية الكحولات بحسب
الترتيب الآتي: الأولية
الثانوية
الثالثية. أما في تفاعلات النوع الثاني فتكون الثالثية أقواها.
-الكشف عن الوظيفة الهدروكسيلية الكحولية بالاختبار الكزانتوجيني xanthic (xanthogenic):
تمزج المادة مع كبريتيد الكربون
،
ويضاف إليها قطعة من
،
ويسخن المزيج تسخيناً لطيفاً، ثم يضاف إليه قليل من محلول
.
فإذا كان التفاعل إيجابياً ظهر تلون بني فاتح من كزانتوجينات النحاسcopper
xanthogenate.
أما في حالة عدم تكون الكزانتوجينات فيكون الراسب بلون أزرق غامق (المعادلتان
15
و16).
![]() |
![]() |
3- الفينولات:
مشتقات هدروكسيلية للفحوم
الهدروجينية العطرية، وتكون الزمرة الهدروكسيلية فيها مرتبطة ارتباطاً مباشراً
بالحلقة العطرية، وأبسطها الفينول
.
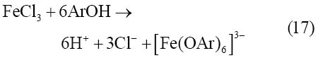
يكشف عن الفينولات بتفاعلها مع كلوريد الحديد(III)
،
وهو التفاعل النوعي المستخدم في الكشف عن الفينولات. ويتشكل بنتيجة التفاعل
معقدات من الشكل
المحتوي على الإيونات
التي تختلف ألوانها باختلاف المركّب الفينولي. ويعود التلون إلى تشكل فينولات
معقدة شديدة التأين للحديد الثلاثي. يفيد هذا التفاعل في التمييز بين الفينولات
(المعادلة 17):
![]() |
يُنتج التفاعل مع الفينول لوناً
بنفسجياً؛ ومع الكاتيشول catechol
لوناً أخضر؛ ومع
الريزورسينول resorcinol
لوناً بنفسجياً. في حين يعطي مع البيروغالول
pyrogallol
C6H3(OH)3
لوناً بنياً محمراً. ويكون
اللون مع
النفتول naphtol
بنفسجياً ومع
النفتول
أصفر.
4- الألدهيدات والكيتونات:
مركّبات عضوية تحوي الزمرة
الكربونيلية
.
يرمز إلى الألدهيدات بالصيغة العامة
حيث ترتبط فيها زمرة الكربونيل بجذر وذرة هدروجين. وتمتاز باحتوائها على الزمرة
الألدهيدية
.
أما الكيتونات فصيغتها العامة
،
وفيها ترتبط زمرة الكربونيل بجذرين.
إن تفاعلات الزمرة الكربونيلية كثيرة ومتنوعة، ويمكن الاستفادة منها في الكشف الكيفي عن هذه المركّبات. ويمكن الكشف الكيفي عن الألدهيدات والكيتونات بالتفاعلات العامة الآتية:
أ - التفاعل مع كلورهدرات 4,2 – ثنائي نترو فنيل هدرازين hydrazine dinitrophenyl؛ وهذا يمكن من التفاعل في وسط متجانس. يؤدي هذا التفاعل إلى تشكل راسب أصفر اللون أو برتقالي من 4,2 – ثنائي فنيل هدرازون dinitrophynelhydrazone المركّب الكربونيلي. وتمتاز فنيل هدرازونات الناتجة بأنها رديئة الذوبان في الماء، ولهذا يمكن إجراء الكشف عن المركّبات الكربونيلية في محاليل مائية ممددة (المعادلة 18):
![]() |
ب- التفاعل مع كبريتيت الصوديوم
الحامضة NaHSO3
sodium
bisulfite،
وهو تفاعل مميز للألدهيدات والكيتونات ذات الصيغة العامة
؛
أي الحاوية زمرة
(
أو
ألكيل)، وعند إضافة قطرات من محلول كبريتيت الصوديوم الحامضة إلى قطرات من
الأسيتون مثلاً يتشكل بعد التحريك راسب بلوري أبيض. ويُعدّ هذا التفاعل أحد
الأمثلة الكثيرة على تفاعلات الإضافة النيكليوفيلية إلى الزمرة الكربونيلية
(المعادلة 19):
![]() |
ج- الكشف عن الأسيتون بتفاعل ملون
باستخدام نتروبروسيد الصوديوم (اختبار ليغال
Legal):
يضاف إلى قطرات من محلول 0.05
نظامي من نتروبروسيد الصوديوم
قطرات من محلول مائي للأسيتون. فعند إضافة قطرة من محلول
2
نظامي من
يظهر تلون أحمر يزداد وضوحاً ويصبح كرزياً بإضافة قطرة من محلول
2
نظامي من حمض الخل
.
يكشف هذا التفاعل عن الكيتونات الحاوية زمرة
.
ويكون أكثر وضوحاً مع الكيتونات منه مع الألدهيدات.
د- تشكل اليودوفورم (التفاعل
اليودوفورمي): ويستجيب لهذا التفاعل الكيتونات الميتيلية أو المركّبات القادرة
بعد أكسدتها على تكوين زمرة الأستيل
مثل
والأسيت ألدهيد
والأسيتون
.
ويتم التفاعل بإضافة قطرات من محلول ثلاثي يوديد البوتاسيوم
(وهو محلول اليود في يوديد البوتاسيوم) وقطرات من محلول
2
نظامي من
إلى قطرات من محلول مائي للأسيتون، فيتشكل راسب أبيض مصفر من اليودوفورم
(المعادلات 20
و21
و22):
![]() |
![]() |
![]() |
الاختبار اليودوفورمي للأسيتون حساس جداً، ويسمح بالكشف عن الأسيتون في المحاليل التي يكون تركيزه فيها 0.04 %.
5. الحموض الأحادية والثنائية الكربوكسيل:
يمكن النظر إليها كفحوم هدروجينية
حلت فيها زمرة كربوكسيلية
محل ذرة أو أكثر من ذرات الهدروجين، وتصنف إلى أحادية وثنائية أو أكثر بحسب عدد
الزمر الكربوكسيلية، ويمكن الكشف عنها بتفاعلات عامة، وتفاعلات خاصة ببعضها.
أ- تأثيرها في ورقة عباد الشمس: تتلون الورقة باللون الأحمر.
ب- التفاعل مع كربونات الصوديوم
الحامضة sodium
bicarbonate
يؤدي إلى انطلاق
.
ج-تشكل الحموض الكربوكسيلية مع
الهدروكسيدات القلوية
و
أملاحاً منحلة بالماء، وتشكل مع كل من هدروكسيد الكلسيوم والمغنزيوم أملاحاً
غير منحلة.
د- تتفاعل الحموض مع الكحولات بتحفيز حمضي معطية الإسترات التي تمتاز بروائح خاصة تختلف باختلاف الحمض والكحول المستخدمين (تفاعل الأسترة esterification) (المعادلة 23):
![]() |
وفيما يلي تفاعلات مميزة لبعض الحموض الأحادية:
- يتفاعل حمض النمل (الفورميك)
formic
acid
مع محلول نترات الفضة النشادرية مشكلاً مرآة الفضة. ويعزى ذلك إلى احتواء حمض
النمل على زمرة ألدهيدية كامنة (المعادلة
24):
![]() |
- يتفاعل حمض النمل مع حمض الكبريت
المركز مطلقاً غاز
الذي يشتعل بلهب أزرق (المعادلة
25):
![]() |
- يكشف عن حمض الخل (الأسيتيك) بكلوريد الحديد، فيتلون المحلول باللون الأحمر.
6. الأمينات:
تُعدّ الأمينات أسساً عضوية حيث يحل
جذر فحمي هدروجيني (ألكيل أو أريل) أو جذران أو ثلاثة محل عدد مماثل من ذرات
الهدروجين في النشادر. تصنف الأمينات إلى أولية
وثانوية
وثالثية
:
عندما يكون R
جذراً أليفاتياً يكون الأمين
أليفاتياً. أما إذا كان عطرياً فيكون الأمين عطرياً.
- تفاعلات خاصة للكشف عن الأمينات الأولية:
أ-تفاعل الكربيل أمين
carbylamine:
عند تسخين الأمين الأولي مع الكلوروفورم بوجود هدروكسيد البوتاسيوم الذي يقوم
بتعديل
المتشكل يتشكل الكربيل أمين الذي تتصاعد أبخرته كريهة الرائحة (المعادلة
26):
![]() |
ب- اختبار ريميني Rimini: عند تسخين قطرات من الأمين الأولي مع قليل من الأسيتون وإضافة قليل من محلول نترو بروسيد الصوديوم في الماء يتلون المحلول بالأحمر البنفسجي.
ج -تفاعل خاص للكشف عن الأمين الثانوي (اختبار سيمون Simon): يضاف إلى قطرات من الأمين الثانوي قطرات من الماء وقليل من الأسيت ألدهيد ثم قطرة من نتروبروسيد الصوديوم، فيتلون المحلول بالأزرق بعد عدة دقائق، يتحول بعدها إلى الأزرق ثم إلى الأزرق المخضر ثم إلى الأصفر.
د -تفاعلات عامة للأمينات:
1-
اختبار حمض الآزوتي nitrous
acid:
تختلف الأمينات في سلوكها تجاه حمض الآزوتي (مخلوط مبرد من الجليد من محلول
نتريت الصوديوم وحمض كلور الماء المدّد). يضاف قليل من
الممدد إلى قطرات من الأمين حتى تمام الانحلال، ويبرد المزيج حتى الصفر، ثم
يضاف محلول نتريت الصوديوم؛ فيؤدي ذلك إلى تشكل حمض الآزوتي. إذا انطلق غاز
الآزوت كان الأمين أولياً، ويتشكل بنتيجة التفاعل الكحول. أما إذا انفصلت طبقة
زيتية القوام صفراء اللون أو كانت على شكل مستحلب؛ فيكون الأمين ثانوياً
(المعادلتان 27
و28):
![]() |
![]() |
أما الأمينات الثالثية فلا تتفاعل مع حمض الآزوتي لعدم احتوائها على ذرة هدروجين متصلة بذرة الآزوت.
2-
تفــاعلها مـع كلـوريد سـلفونيل البنزن
benzene
sulfonyl
chloride
(اختبار هنسبرغ
Hinsberg):
وهو يستخدم للتمييز بين الأمينات الثلاثة.
تؤدي خضخضة الأمين مع كلوريد سلفونيل البنزن بوجود محلول مائي لهدروكسيد البوتاسيوم إلى تشكل N- سلفونأميد sulfonamide. تتكون في حالة الأمينات الأولية مشتقات سلفونيل البنزن التي تنحل في محلول الصودا الكاوية، وتعطي الأمينات الثانوية مشتقات لا تذوب في هدروكسيد الصوديوم. أما الثالثية فإنها لا تستجيب لهذا التفاعل لعدم احتوائها على ذرات هدروجين مرتبطة بذرة الآزوت (المعادلتان 29 و30):
![]() |
![]() |
ويعزى انحلال مشتقات سلفونيل بنزن الأمين الأولي في هدروكسيد الصوديوم إلى احتوائها على هدروجين مرتبط بذرة الآزوت. أما مشتقات سلفونيل بنزن الأمين الثانوي؛ فلا تنحل لعدم احتوائها على مثل هذا الهدروجين.
فاروق قنديل
|
مراجع للاستزادة: - P. B. Cranwell, L. M. Harwood, C. J. Moody, Experimental Organic Chemistry, Wiley; 2017. - J. Mohan, Organic Analytical Chemistry :Theory and Practice, Alpha Science International Limited , 2003. - T. D. A. Kumar, N. Swathi, Experimental Organic and Medicinal Chemistry,BSP BOOKS 2017.
|
- التصنيف : الكيمياء والفيزياء - النوع : الكيمياء والفيزياء - المجلد : المجلد السابع مشاركة :




























