التناظرات الداخلية والجسيمات الأولية
تناظرات داخليه وجسيمات اوليه
Internal symmetries and elementary particles -
التناظرات الداخليّة والجسيمات الأوّليّة
نضال شمعون
التعالق بين التناظرات الداخليّة والجسيمات الأوّليّة
يؤدي التناظرsymmetry دوراً كبيراً في الفيزياء الحديثة، فجميع نظريات الحقل الكموميّة quantum field theories الخاصّة بـالجسيمات الأوّليّة elementary particles تتمتّع بـالصمود (اللاتغيّر) النسبوي relativistic invariance، وهو نوع من التناظر، يُعرَف بـتناظر بوانكاريه Poincare symmetry للزمكانspace-time ، ويشير إلى وجوب عدم تغير قوانين الفيزياء عند إجراء انسحابات translations أو دورانات rotations أو تحويلات لورنتز صرفة pure Lorentz transformations التي تستنتج وفق فرضيتي النسبية الخاصة وتعطي العلاقات بين الإحداثيات في جملتين إحداثيتين تتحرك إحداهما بالنسبة إلى الأخرى بسرعة ثابتة.
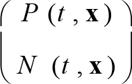
مع ذلك هناك أحياناً تناظرات لا تتعلّق بإجراء تحويلات على إحداثيّات الزمكان تدعى تناظرات داخليّة internal symmetries. مثال ذلك تناظُر الإيزوسبينisospinحيث تبدي غالبية الظواهِر النووية تماثلاً (تناظراً) إذا ما تمّ استبدال البروتون بالنترون والعكس بالعكس، ومن ثمّ يمكن تخيُّل حقل البروتون P وحقل النترون Nحالتَين من حقل نكليون ثنائي البعد
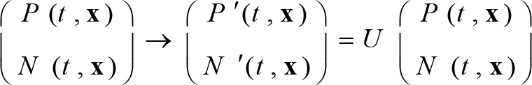
بحيث تكون نظريّة حقل النكليون صامدةً لا تتغيّر عند إجراء التحويل
، أو يمكن التعبير عن ذلك عموماً بإجراء "دورانٍ" على حقل النكليون في فضاء مجرّد عقديّ ثنائي البعد يمثّل البروتون والنترون محورَين متعامدين فيه:
![]() |
حيث U المصفوفة الواحديّة unitary العقديّة التي تمثل الدوران. وتعود تسمية الإيزوسبين إلى التشابه بين هذه العملية وعملية التناظُر عند إجراء الدورانات في المكان وعلاقة ذلك مع مصونيّة الاندفاع الزاوي والسبين. إن تناظر الإيزوسبين هنا تقريبي في الطبيعة؛ لأن القوى الكهرطيسيّة تفرِّق بين البروتون المشحون كهربائيّاً والنترون عديم الشحنة. وهناك أمثلةٌ أخرى على تناظُرات داخليّة تقريبيّة مثل تناظُر النكهة flavor symmetry بين الكواركات quarks؛ سواء أكان تناظراً إيزوسبينياً بين الكواركَين u,d، أم على نحو أعم بين الكواركات u,d,s، (الجدول 1)، وتناظر المرآتية (الانطباقيّة أو اليدّية) chiral symmetry بين الكواركات عديمة الكتلة. وتعدّ جميع هذه الأمثلة تناظُرات شموليّة global؛ لأن التحويلات لا تعتمد على النقطة في الزمكان التي تُجرى عندها التحويلات (أي إن المصفوفة U أعلاه لا تعتمد على
).
|
الجدول (1) الجدول الدوري للكواركات واللبتونات. تصنف اللبتونات في تركيبة من الشحنة الكهربائية والكتلة، في حين تصنف الكواركات وفق تركيبة من تناظرات، رمز إليها بألوان ونكهات وشحنة كسرية. |
|||||||||||||||||||||||||||||||||||||||||||||||||||||||||||||||||||||||||||||||||||||||||||||||||||
|
|||||||||||||||||||||||||||||||||||||||||||||||||||||||||||||||||||||||||||||||||||||||||||||||||||
أدخل الفيزيائي الأمريكي الصيني الأصل تشن نينغ يانغ Chen Ning Yang والفيزيائي الأمريكي روبرت ميلز Robert Mills عام 1954 فكرةَ التناظر المعياري gauge symmetry لحالة تناظرات موضعيّة تعتمد فيها التحويلات على الموضع؛ أي تغدو المصفوفة تابعةً للموضع
، ومن ثم تكون تناظراتُ المعيار مستمرّةً، وتابعةً لوسيط يمكن أن يأخذ قيماً في مجالٍ مستمرّ من الأعداد؛ بعد أن كانت تأخذ قيماً متقطعة. فيمكن أن تكون التناظراتُ الشموليّةُ مستمرّةً؛ مثل تناظر الانطباقيّة الداخلي في القوى الشديدة أو تناظر لورنتز للزمكان، أو متقطّعة؛ مثل تناظر ترافق الشحنةcharge conjugation الداخلي وتناظُرَي عكس المكان space inversion وقلب الزمان time reversal للزمكان.
أنتج في بداية خمسينيات القرن العشرين تنويعة هائلة من جسيمات جديدة وغير متوقَّعة عن طريق تصادم البروتونات مع النوى الذرّية باستعمال التقنية الناشئة حديثاً آنذاك، وهي مسرِّعات الجسيمات ذات الطاقة العالية، فنمت لائحة الجسيمات الجديدة المكتشفة بسرعة، وتجاوزَ عددُها عددَ العناصر الذرّيّة، وكانت غالبيّة هذه الجسيمات غيرَ مستقرّة وأعمارها قصيرة جداً. ومع ازدياد هذه الجسيمات الجديدة وانتشارها لم يكن هناك سوى أداة واحدة يستعان بها في محاولة لاستنباطِ أيّ مغزىً من كلّ هذا؛ فكان التناظر. وكما سمحت دوريّة الخصائص في الجدول الدوري periodic table لـمندلييف بالتنبّؤ بوجود عناصر جديدة في القرن التاسع عشر؛ فإن تطبيق بعض الخواصّ التناظريّة على المكوِّنات الأوّليّة المُفترَضة لهذه الجسيمات العنصريّة سمح بالتنبّؤ بجسيمات جديدة، مثل جسيم أوميغا Ω الذي اكتشف عام 1964 بـكتلةٍ mass وسبين spin وزوجيّة-شفعيّة parity ونواتج تفكك موافقة تماماً لما تنبّأ به الفيزيائي الأمريكي موري غِل- مان Gell-MannMurray اعتماداً على تناظُرات نموذج الكواركات. إنّ الأشياء التي تدعى اليوم "جسيمات أولية" هي -ضمن حدود المعارف الراهنة- كُسيراتٌ ماديةٌ نقطيةٌ لا بنية لها، وقد تراكمت معطيات تجريبيّة كثيرة خلال القرن العشرين من المُسرِّعات أو من الملاحظات والمراقبات الكونيّة بيّنت أن هناك ثلاث "شعبٍ" رئيسية، تحتوي الشعبة الأولى والثانية على المكوِّنات البنيوية الأساسية للمادة: الكواركات واللبتونات leptons (الجدول 1)، في حين تحتوي الشعبة الثالثة على بوزونات المعيار gauge bosons؛ أي الجسيمات التي يقال عنها عموماً إنها مسؤولة عن القوى في الطبيعة (الجدول 2).وتُدعى كذلك "حوامل القوى"، وتعرف جميعها من تناظرات المعيار، وهناك ثمانية أنواع من الغليّونات التي تحمل شحناتٍ لونيّةً: الأصفر، والأزرق، والأحمر، والخط السفليّ يعني لوناً مُضادّاً.
|
الجدول (2) جدول بوزونات المعيار: أصفر Y، أزرق B، أحمر R، والخط السفليّ يعني لوناً مُضادّاً. |
||||||||||||||||||||||||||||||||||||||||||||||||||||||||||||||||||
|
||||||||||||||||||||||||||||||||||||||||||||||||||||||||||||||||||
إضافةً إلى ما هو مذكور في الجدول هناك أيضاً الجسيمات المضادّة كما تقتضي النسبية الخاصة. ويلاحظ أن للنترينوات كتلاً جدّ صغيرة يُتوقّع أن تكون أصغر من رتبة 1 إلكترون- ڤولط. (لاحظ أيضاً أن كلّ كوارك يأتي بلونٍ من بين ثلاثة ألوان). واحدة الشحنة الكهربائيّة هي شحنة الإلكترون، في حين أن واحدة الكتلة هي1GeVالتي تُوافق تقريباً كتلة البروتون.
الكواركات هي اللبنات الأساسيّة للـهادرونات hadrons تتآثر تلك الجسيمات وفق القوى النووية الشديدة، وأهمّها الباريونات baryons وتشتمل على النكليونات nucleons، التي يتألّف كلّ منها من ثلاثة كواركات، والميزونات mesons التي يتالّف كلٌّ منها من كوارك وكوارك مُضادّ، مثل البيونات pions. تحمل الكواركاتُ شحنةً مُميّزة أخرى غير الشحنة الكهربائيّة تُدعى الشحنة اللونيّة color charge، ولها ثلاثة أنواع (تُدعى اصطلاحاً الأصفر والأزرق والأحمر). أمّا اللبتونات التي لا تتآثر بالقوى الشديدة فلا شحنةً لونيّةً لها. يلاحظ تعدد التصنيفات لبعض الجسيمات الأولية، ويعود ذلك إلى تصنيفات تاريخية مرحلية لبعضها، لكن التصنيفين في الجدولين 1 و2 هما المتفق عليهما في الوقت الحاضر.
تأتي هذه الجسيمات الأوّليّة جميعها ضمن عائلات families ثلاث تتماثل في خواصّها التآثرية تماماً فيما خلا الكتلة التي تزداد قيمُها من عائلةٍ إلى العائلة التي تليها. وهناك إشاراتٌ تجريبية غير مباشرة وحججٌ نظريّة توحي بعدم وجود عائلاتٍ أخرى.
التعالق بين التناظرات الداخليّة والجسيمات الأوّليّة
تسمح التناظُرات الداخليّة الشموليّة بتفسير الكثير من خصائص الجسيمات الأوّليّة. فيعبر- على سبيل المثال- عن التناظُر بين الكواركات uو dوs، الموافق للدورانات في فضاءٍ مجرّد محاوره هذه الكواركات- وفق نظرية الزمر group theory- بالزمرة SU(3). وتسمح إضافة السبين لهذا التناظر بالحصول على الزمرة SU(6)، وإمكان حساب كتل الباريونات وعزومها المغنطيسيّة على نحو مقبول. مع ذلك فإن تناظرات "النكهة" هذه تقريبيّة بسبب القيم المختلفة لكتل الكواركات المُتضمَّنة، وكذلك بسبب اختلاف تأثير القوى الكهرطيسيّة على الكواركات تبعاً لقيم شحناتها الكهربائيّة.
ثمة تناظُرات شموليّة مستمرّة صحيحة يحقّقها النموذج المعياري لفيزياء الجسيمات Standard Modelof Particle Physics، وأهمّها تناظُر العدد الباريوني (اللبتوني)baryon (lepton) number الذي ينصّ على أن لاغرانجي lagrangeالنموذج المعياري صامد لا يتغيّر عند ضرب حقل الكوارك (اللبتون) بمعامِل طور
، حيث A ثابت يعبِّر عن العدد الكواركي (اللبتوني) للحقل وθ مستقلّة عن موضع الكوارك (اللبتون)، ومن ثمّ يُعبَّر عنه بزمرة U(1). ووفقاً لمقولة نوثر Noether Theorem التي تقول بوجود مقدار مصون من أجل أي تناظُر مستمرّ للاغرانجي، يتبين أن العدد الباريوني (اللبتوني) مصون في التفاعلات التي يوصِّفُها النموذج المعياري، ولكن من الممكن ألاّ يكون هذا التناظُر الداخليّ مُحقَّقاً في نظريّاتٍ توحيديّة كبرى grand unified theories تتضمن النموذج المعياري.
يقبل الفيزيائيّون بصحة التناظرات الداخليّة الموضعيّة دوماً وبدعوى نوثر، بل يغدو هذا التناظُر المعياري نقطةَ البدء لفهم التآثرات الأساسيّة في الطبيعة fundamental interactions. في الحقيقة يستدعي صمود اللاغرانجي أمام إجراء تناظُرٍ معياري على المادّة وجودَ حوامِلَ carriers للقوى التي يصفها هذا اللاغرانجي، وهكذا فـالفوتونات photons موجودة لأن الإلكتروديناميك الكمومي Quantum electrodynamics- الذي هو نظرية الحقل الكمومي للقوى الكهرطيسية electromagnetic forces- صامِد أمام التناظر المعياري U(1) الذي تخضع له الجسيمات المشحونة كهربائيّاً، والغليّوناتgluons موجودة لأن الكروموديناميك الكمومي quantum chromodynamics- الذي هو نظريّة الحقل الكمومي للقوى النووية الشديدةstrong forces - صامِد أمام التناظر المعياري SU(3) الذي تخضع له الكواركات المشحونة "لونيّاً" (لوجود ثلاثة أنواع من الشحنات اللونيّة)، والأمر نفسه بالنسبة إلى الـقوى النووية الضعيفةweak forces وإن كان التناظر المعياري هنا جزءاً من تناظُرٍ أشمل U(1)×SU(2)، يوحّدها مع القوى الكهرطيسيّة ضمن قوى كهرضعيفة electroweak forcesالتي توافقها أربعة حوامِل قوى، غير أن هذا التناظر عانى كسراً ذاتياً spontaneous symmetry breaking بطريقةٍ أبقت على تناظُر الـ U(1) الكهرطيسي بحامل قوى موافق (الفوتون) عديمِ الكتلة، في حين أكسبتِ الحوامل الثلاثة المتبقية - وفق آليّة هيغزHiggs mechanism- كتلاً فأضحت الجسيمات الحاملة هي W+,W-,Z0.
|
مراجع للاستزادة: - مرسى الطحاوى، فيزياء الجسيمات الاولية، أفاق للنشر والتوزيع، القاهرة 2024. - A. Bettini, Introduction to Elementary Particle Physics,Cambridge University Press 2014. - G. Costa, G. Fogli, Symmetries and Group Theory in Particle Physics: An Introduction to Space-Time and Internal Symmetries, Springer 2012.
|
- التصنيف : الكيمياء والفيزياء - النوع : الكيمياء والفيزياء - المجلد : المجلد العاشر، طبعة 2025، دمشق مشاركة :
