تحويل زد
تحويل زد
Z transform -
علاقة تحويل زد Z بتحويل لابلاس Laplace
تحويل زد Z Transform هو إحدى الأدوات الرياضية المستخدمة في دراسة الإشارات المتقطعة زمنياً discrete-time وفق مدة ثابتة T وتحليلها. وقد ظهرت الحاجة إلى تعريفه لدراسة المنظومات الرقمية وتحليلها. ويعرّف تحويل زد Z الأحادي الجانب unilateral للتابع المتقطع f (kT)بالعلاقة (1):
![]() |
حيث k عدداً صحيحاً.
وتعرّف منطقة التقارب
Region
Of
Convergence
(ROC)
بأنها منطقة في المستوي العقدي تتقارب فيها السلسلة المعرّفة لتحويل زد
Z.
وقد اصطلح على كتابة التابع
بالشكل
للتبسيط. فمثلاً بفرض التتابع للمتحول المتقطع
يكون تحويل زد Z
العلاقة (2):
![]() |
أما تحويل زد Z الثنائي الجانب bilateral Z transform فيعرّف بالعلاقة (3).
![]() |
ويشيع استخدام التحويل الأحادي الجانب في دراسات العلوم التطبيقية نظراً للطبيعة السببية causal لمنظوماتها.
علاقة تحويل زد Z بتحويل لابلاس Laplace
تُحول الإشارة التمثيلية المستمرة
f(t)المبيّنة
في الشكل (1-أ)،
إلى إشارة متقطعة بتمريرها عبر آخذ عينات
sampler مثالي (الشكل
2)،
حيث يُرمز إلى الإشارة المتقطعة على خرجه بالتابع
،
وتكون عملية أخذ العينات مكافئة لضرب التابع
f(t)بقطار
من نبضات دلتا ديراك Dirac
delta
pulse
train
المبيّن في الشكل (1-ب)،
ويمكن التعبير عن ذلك بالعلاقة (4).
![]() |
![]() |
|
الشكل (1) مثال على تحويل إشارة مستمرة إلى متقطعة. أ- الإشارة التماثلية المستمرة عند مدخل آخذ العينات.
ب- قطار نبضات ديراك، ج- مخرج آخذ
العينات المثالي
|
![]() |
|
الشكل (2) آخذ العينات المثالي ورمزه. |
وبتطبيق تحويل لابلاس على طرفي المعادلة (3) تنتج المعادلة (5):
![]() |
التي تكتب وفق العلاقة (6):
![]() |
وتكتب اختصاراً بالشكل المبيّن في بالعلاقة (7).
![]() |
ولإعادة كتابة العلاقة (5)
بشكلها الكسري المعروف في تحويل لابلاس يعرّف التابع
(أي إن متحول لابلاس هو
،
حيث ln
يرمز إلى اللوغاريتم الطبيعي، و
T
هو دور أخذ العينات)، فيحصل على العلاقة (8)
التي تربط تحويل لابلاس بتحويل زد.
![]() |
ويجري اختيار z بحيث تتقارب السلسلة المبيّنة آنفاً.
يتضح من العلاقتين (7)
و(8)
أن تحويل Z
للتوابع المتقطعة هو -تعريفاً- حالة خاصة من تحويل لابلاس باستخدام التابع
.
ويمكن القول: إن أيّ تابع f(t)
له تحويل لابلاسF(s)
؛ فإن لمقابله المتقطع
f(kT)
تحويلاً في المستوي z.
كما يمكن استنباط خواص هذا التحويل ونظرياته اعتماداً على خواص تحويل لابلاس
ونظرياته.
مثال
1:
بفرض أن التابع المتقطع هو تابع نبضة دلتا ديراك
المعرّف بالعلاقة (9).
![]() |
يكون تحويل Z له على شكل سلسلة كما هو مبيّن بالعلاقة (10).
![]() |
مثال 2: تابع القفزة (الخطوة) الواحدية المتقطع discrete unit step function u(kT) -وهو المقابل لتابع القفزة الواحدية المستمرu(t) - الذي يعرّف بالعلاقة (11).
![]() |
أو على شكل سلسلة وفق العلاقة (12).
|
ويُعطى تحويل Z له بالعلاقة (13).
![]() |
تمثل العلاقة (13)
سلسلة متقاربة لجميع قيم
،
وتتقارب إلى الحد المعطى بالعلاقة (14).
![]() |
مثال
3:
ليكن التابع المستمر
،
يعطى التابع المتقطع الموافق بالعلاقة (15).
![]() |
فيكون تحويل Z للتابع المتقطع المبيّن بالعلاقة (15) هو المعطى بالعلاقة (16).
![]() |
تمثل المعادلة سلسلة متقاربة لجميع
قيم k
عند تحقق الشرط
،
وتتقارب إلى القيمة المبيّنة بالعلاقة (17).
![]() |
مثال
4:
ليكن التابع التماثلي
المستمر
يعطى التابع المتقطع له بالعلاقة (18).
![]() |
ويعطى تحويل Z لهذا التابع بالعلاقة (19).
![]() |
وتمثل المعادلة سلسلة متقاربة لجميع
قيم k
عند تحقق الشرط
،
وتتقارب إلى القيمة المعطاة بالعلاقة (20).
![]() |
يتميز تحويل Z بعدد من الخصائص (تسمى أحياناً نظريات) التي يمكن استقاؤها من خصائص تحويل لابلاس، ومن أهمها:
1- خطية linearity تحويل Z:
الضرب بثابت: وينص على أنه إذا كان للتابع f(k) تحويل F(z)، فإن تحويل Z للتابع af(k) (حيث a ثابت) هو a F(z). ويمكن برهان ذلك ببساطة بتطبيق تعريف التحويل كما هو مبيّن في العلاقة (21).
![]() |
مجموع (أو فرق) تابعين: استناداً إلى خاصية الخطية، يمكن البرهان على العلاقة (22).
![]() |
حيثF(z) وG(z) هما تحويلا Z للتابعين f(k) وg(k) على الترتيب.
2- الإزاحة في الزمن :time shift
التأخير في الزمن
time
delay:
يرمز إلى التابع المتقطع زمنياً f(k)
المزاح نحو اليمين m
دوراً (أي تأخير قدره m
دوراً) بالصيغة
f(k-m)حيث
،
ويعطى تحويل Z
للتابع المزاح بالعلاقة (23).
![]() |
مثال:
يعطى تحويل Z
لتابع الخطوة الواحدية المؤخّر بقيمة دور واحد
بالعلاقة (24).
![]() |
التقديم في الزمن
time
advance:
يرمز إلى التابع المتقطع زمنياً f(k)
المزاح نحو اليسار m
دوراً (أي تقديم قدره m
دوراً) بالصيغة f(k+m)حيث
.
ويعطى تحويل Z
له بالعلاقة (25).
![]() |
مثال:
يعطى تحويل
Z
للتابع المزاح
بالعلاقة (26).
![]() |
3- الإزاحة العقدية:
إذا كان للتابع المتقطع زمنياً
تابع تحويل هو
،
يعطى تحويل Z
للتابع المتقطع المزاح
بالعلاقة (27).
![]() |
وباختيار متحول جديد
يكتب التحويل الجديد وفق العلاقة (28).
![]() |
4- نظرية القيمة الابتدائية Initial Value theorem:
تنص هذه النظرية على أنه إذا كان
للتابع
تحويل في مستوي Z
هو F(z)،
وله نهاية معرّفة فيه (أي
)؛
فإن القيمة الابتدائية للتابع
(أي
)
تعطى بالعلاقة (29).
![]() |
5- نظرية القيمة النهائية final value theorem:
تنص هذه النظرية على أنه إذا كان
للتابع
تحول في مستوي Z
هو F(z)؛
فإن القيمة النهائية للتابع
(أي
)
تعطى بالعلاقة (30).
![]() |
مثال:
بفرض التابع f(k)
الذي تحويل Z
له هو
،
تستخدم لإيجاد القيمة الابتدائية للتابع العلاقة (29)
للحصول على العلاقة (31).
![]() |
ولإيجاد القيمة النهائية تُستخدم العلاقة (30) للحصول على العلاقة (32).
|
6- نظرية التفاضل الجزئي partial differentiation:
ليكن
(حيث
a
ثابت أو متحول مستقل) هو تحويل Z
للتابع المتقطع
.
يعطى تحويل Z
للتفاضل الجزئي للتابع
بالنسبة إلى a
بالعلاقة (33):
![]() |
هذه النظرية مفيدة لإيجاد تحويل زد
لبعض التوابع المعقدة، ومنها على سبيل المثال تحويل التابع
.
وبتطبيق التعريف يجري الحصول على العلاقة (34).
|
وباستخدام النتيجة المبيّنة في العلاقة (17) يجري الحصول على المطلوب المبيّن بالعلاقة (35).
![]() |
7- نظرية الطي convolution:
يعرّف طي (تلافّ) تابعين متقطعين
(ويرمز إليه بالرمز
)
بالعلاقة (36).
|
وتنص النظرية على أن تحويل
Z
لطي تابعين
هو جداء تحويلي Z
لكل منهما؛ كما هو مبيّن بالعلاقة (37).
![]() |
حيث
و
هما تحويلا Z
لكل من
و
على
الترتيب.
ويمكن إثبات ذلك باستخدام تعريف تحويل Z وخصائص التحويل.
إن التعريف الأساسي لتابع تحويل Z وخواصه (أو نظرياته) يمكِّن من إيجاد تحويل Z لأي تابع متقطع. ويبيّن الجدول (1) تحويل Z لبعض التوابع الشهيرة.
| الجدول (1) تحويل زد لبعض التوابع الشهيرة | |||||||||||||||||||||||||||||||||||||||
|
إن تحويل
Z
لأي إشارة متقطعة أو تابع متقطع هو على شكل سلسلة يعطى بالعلاقة المبيّنة في
المعادلة (5)،
وتتقارب في منطقة تسمى منطقة التقارب. في حين إذا عرّف التابع
على أنه تحويل
للتابع المتقطع
؛
يمكن إيجاد السلسلة الزمنية المعرّفة للتابع المتقطع باستخدام معكوس تحويل
Z
(تحويل Z
العكسي) inverse
Z-transform،
الذي يرمز إليه بالرمز
،
باستخدام إحدى الطرائق الثلاث: طريقة القسمة الطويلة (المطولة) المباشرة
direct
long
division،
وطريقة التفريق إلى كسور جزئية partial
fraction
decomposition،
وطريقة التكامل على منحنٍ مغلق contour
integral.
1-طريقة التكامل على منحنٍ
يعرّف معكوس تحويل Z في هذه الطريقة بالتكامل العقدي المعطى بالعلاقة (38).
![]() |
حيث يشير الرمز
إلى التكامل على المنحني المغلق (الدائرة)، ويرمز إليه بـ
c،
ويحوي جميع أقطاب التابع. ويمكن تقييم هذا التكامل المغلق باستخدام نظرية كوشي
للرواسب Cauchy
residue
theorem،
حيث إن دائرة التكامل في العلاقة (38)
يجب أن تشتمل على جميع النقاط الشاذة
singular
points
للتابع
F(z)،
لكن هذه الطريقة معقدة نوعاً ما. وبأسلوب مماثل لتحويل لابلاس يمكن إيجاد
المعكوس بطرائق أخرى يكون التتابع في مستوي
Z
الممثل للتوابع المتقطعة الخطية تابعاً كسرياً، ويأخذ الشكل
،
حيث N(z)
يمثل البسط وD(z)
يمثل المقام. وعادة ما تكون درجة المقام أكبر من درجة البسط؛ لذا فإن القسمة
الطويلة المباشرة والتفريق إلى كسور جزئية طريقتان شائعتا الاستخدام لإيجاد
معكوس تحويل Z.
2- القسمة الطويلة المباشرة:
انطلاقاً من تعريف تحويل
Z
المعطى في العلاقة (7)
يمكن تمثيل تحويل
Z
لأي تابع بسلسلة منتهية من العامل
بشكل يتناسب مع المعادلة المذكورة. وتعطي معاملات حدود السلسلة التتابع الصحيح
للتابع المتقطع
.
بفرض تابع كسري في Z
يمكن إجراء القسمة الطويلة المباشرة للبسط على المقام للوصول إلى هذه السلسلة
بـدلالة
.
يمكن إجراء القسمة الطويلة المباشرة
لأي عدد من الحدود والقيم المراد إيجادها للتابع
،
لكن لهذه الطريقة سيئة؛ وهي أنها لا تعطي النتيجة كصيغة مغلقة
closed
form
أو على شكل تابع.
3- التفريق إلى كسور:
تعتمد هذه الطريقة على تبسيط التابع الكسري إلى توابع بسيطة والاستفادة من خصائص تحويل Z في إيجاد التوابع الأصلية لها. وتطابق هذه الطريقة تلك المستخدمة عادة في إيجاد معكوس تحويل لابلاس.
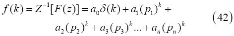
أ- أقطاب حقيقية متمايزة :
يوضع لهذا الغرض التابع في تحويل Z بالشكل الكسري المعطى بالعلاقة (39).
![]() |
حيث
هي الأقطاب المتمايزة الحقيقية.
ويمكن تفريق التابع الكسري في العلاقة (39)
ليأخذ الشكل المبيّن بالعلاقة (40).
![]() |
حيث
هي ثوابت يجري إيجاد قيمها بالطريقة
ذاتها المستخدمة في تفريق الكسور في تحويل لابلاس كما هو مبيّن في العلاقة (41).
![]() |
ويمكن عندئذٍ إيجاد معكوس التحويل بالاستعانة بالجدول رقم (1). فيكون التابع المتقطع المقابل هو المعطى بالعلاقة (42).
![]() |
ب - أقطاب حقيقية مضاعفة:
تتبع الخطوات ذاتها كما في تحويل لابلاس عندما تكون الأقطاب حقيقية ومكررة في التفريق إلى كسور جزئية.
مثال: إيجاد معكوس التحويل للتابع المعطى بالعلاقة (43).
![]() |
بالاستعانة بالجدول (1) يعطى التابع المتقطع الموافق بالعلاقة (44).
![]() |
التي تكتب بالشكل المبيّن في العلاقة (45).
![]() |
حيث
هو تابع الخطوة الواحدية.
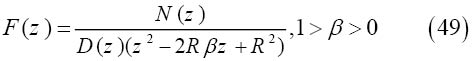
4- أقطاب عقدية متمايزة:
إن إحدى الطرائق لإيجاد معكوس تحويل
Z
عندما تكون الأقطاب عقدية متمايزة هي استخدام الطريقة السابقة ذاتها لتبسيط
الكسور، وتكون العوامل
عقدية. وتجمع الحدود التي تمثل الأجزاء الحقيقية معاً، والأجزاء العقدية معاً
أيضاً للوصول إلى توابع جيبية. ويمكن عموماً تبسيط الإجراء السابق باستخدام
المعارف الأولية لتحويلات Z
للتوابع الشهيرة المبيّنة في الجدول (1)
وملاحظة المعادلتين (46
و47):
![]() |
![]() |
يمكن تمثيل أقطاب التحويل بالصيغة القطبية Polar المعطاة بالعلاقة (48).
![]() |
حيث:
و
.
عموماً يوضع التحويل السابق بالصيغة المبيّنة بالعلاقة (49).
![]() |
حيث
و
.
وبمعاينة توابع التحويل المعرّفة في الجدول
(1)،
وأقطاب التابع المعرّفة آنفاً ينتج من تبسيط الكسور للتابع الصيغة المعطاة
بالعلاقة (50).
![]() |
ويمثل Q(z) بقية حدود التابع، ويكون عادة تابعاً كسرياً وله أقطاب حقيقية. أما معكوس تحويل Z الموافق فيكون له الصيغة المبيّنة بالعلاقة (51).
![]() |
ولإيجاد معكوس تحويل Z للحد الأخير Q(z) تتبع الطريقة المبيّنة لحالة التوابع ذات الأقطاب الحقيقية.
مثال: لإيجاد معكوس تحويل Z للتابع المعرّف بالعلاقة (52).
![]() |
يستخدم التفريق إلى كسور جزئية فيكتب التابع وفق الصيغة المعطاة بالعلاقة (53).
![]() |
حيث:
و
،
ومن ثمَّ:
،
وأيضاً
وينتج من ذلك أن: A=-4.6154
و B=2.2956،
أماC
فيجري إيجادها بتبسيط الكسور
لتكون: C=4.6154.
ومن ثمَّ يكون التابع المتقطع هو المعرّف بالعلاقة (54).
![]() |
يستخدم تحويل Z في مجالات شتى في العلوم والهندسات. ويعود الفضل في الانتشار الواسع لتطبيقات تحويل زد إلى استخدام الحواسيب الرقمية المتقدمة. حيث يستخدم تحويل زد في معالجة الإشارة لتحليل المرشحات الرقمية وتصميمها، وفي إيجاد الاستجابة الترددية، وتصميم المنظومات وتحليلها والتحقق من استقرارها.
ويعدّ تحويل زد في هندسة الاتصالات أداة رياضية قوية لتصميم منظومات ضغط الملفات والصور والصوت والفيديو -الشائعة الاستخدام في شبكات الاتصالات والوسائط المتعددة- وتحليلها.
ويستخدم تحويل زد في الرياضيات لدراسة النماذج الرياضية التي تشتمل على معادلات تفاضلية ويستخدم أيضاً في المنظومات المتحكم بها حاسوبياً والتي تُجري قياسات بوساطة بطاقات دخل-خرج وحساب جهود الخرج.
وأخيراً يؤدي تحويل زد دوراً مهماً في هندسة التحكم الرقمي؛ إذ يستخدم في تصميم منظومات التحكم البنيوية.
فيصل العباس
|
مراجع للاستزادة: - S. Engelberg, Discrete Time Systems and the Z Transform, Springer, 2008. - R. A. Gabel, R. A. Roberts, Signals and Linear Systems, John Wiley & Sons, 1980. - J. S. Chitode, U. A. Bakshi, Signals & System Analysis: Fourier Transform , Laplace Transform, z- Transform, State Variable Analysis, technical publications, 2020. - L. Debnath, D. Bhatta, Integral Transforms and Their Applications, Chapman and Hall/CRC, 2014. - C.T. Leondes, Digital Control Systems Implementation and Computational Techniques, Academic Press, 1996. - A. D. Poularikas, S. Seeley, Signals and Systems, Krieger Publishing Co., 1994. - R. Vich, Z-Transform Theory and Applications, Springer, 1987.
|
- التصنيف : تقانات الفضاء والفلك - المجلد : المجلد السابع، طبعة 2021، دمشق مشاركة :












































































